
مفاهیم منبع انبساط
در این مقاله از سایت بامین تهویه برای شما مفاهیم منبع انبساط ، دلایل استفاده از منبع انبساط ، اﻧﻮاع منبع انبساط ، ﻓﺸﺎر ﺣﺪاﻛﺜﺮ منبع انبساط ، انتخاب منبع انبساط و ﻓﺸﺎﺭ ﻣﺤﺎﺳـﺒﻪ ﺣﺪﺍﻗﻞ ﻓﺸـﺎﺭ را به طور کامل توضیح داده ایم
به منظور تکمیل اطلاعات مشتریان عزیز، توضیحات جامع و تخصصی در ارتباط با مفاهیم منبع انبساط با عناوین زیر به تفصیل بیان شده است.
- دلایل استفاده از منبع انبساط
- اﻧﻮاع منبع انبساط
- ﻓﺸﺎر اوﻟﻴﻪ منبع انبساط
- ﻣﺤﺎﺳـﺒﻪ ﺣﺪﺍﻗﻞ ﻓﺸـﺎﺭ منبع انبساط
- ﻓﺸﺎر ﺣﺪاﻛﺜﺮ منبع انبساط
- انتخاب منبع انبساط
- قیمت منبع انبساط
همچنین کاربران عزیز می توانند جهت مشاهده انواع محصولات منبع انبساط و مقایسه قابلیت های هر مدل و کاربری هر یک از مدل ها به لینک زیر مراجعه نمایند.
ادﻋـﺎ: ﺑﻬﺘﺮﯾﻦ ﻣﺤـﻞ ﻧﺼﺐ ﻣﻨﺒﻊ ﺍﻧﺒﺴـﺎﻁ ﺩﺭ ﻧﺰﺩﯾﮑـﯽ ﻣﮑﺶ ﭘﻤﭗ ﺳﯿﺴﺘﻢ ﻣﯽﺑﺎﺷﺪ.
واﻗﻌﻴـﺖ: ﺩﺭ ﺻﻮﺭﺗﯽ ﮐﻪ ﻣﻨﻈـﻮﺭ ﺍﺯ "ﺑﻬﺘﺮﯾﻦ" ﻣﺤﻞ ﺑـﻪ ﻣﻌﻨﯽ ﺍﯾﻨﮑﻪ ﮐﻮﭼﮑﺘﺮﯾﻦ (ﻭ ﮐﻢ ﻫﺰﯾﻨﻪﺗﺮﯾﻦ) ﻣﻨﺒﻊ ﺍﻧﺒﺴﺎﻁ ﺭﺍ ﻧﺘﯿﺠﻪ ﺩﻫﺪ، ﺑﻬﺘﺮﯾﻦ ﻣﺤﻞ ﻧﻘﻄﻪﺍﯼ ﺍﺳﺖ ﮐﻪ ﺯﻣﺎﻧﯽ ﮐﻪ ﭘﻤﭗ ﺭﻭﺷـﻦ ﺍﺳﺖ ﺁﻥ ﻧﻘﻄﻪ ﮐﻢﺗﺮﯾﻦ ﻓﺸﺎﺭ ﺭﺍ ﺩﺍﺭﺍ ﺑﺎﺷـﺪ. ﺑﺮﺍﯼ ﯾﮏ ﺳﯿﺴـﺘﻢ ﮐﻪ ﻣﺪﺍﺭ ﻫﯿﺪﺭﻭﻧﯿﮏ ﺁﻥ ﺑـﻪ ﺻﻮﺭﺕ ﺍﻓﻘﯽ ﺗﻮﺯﯾﻊ ﺷـﺪﻩ ﺍﺳـﺖ (ﻣﺜﻼً: ﺩﺭ ﯾﮏ ﺳـﺎﺧﺘﻤﺎﻥ ﯾﮏ ﻃﺒﻘﻪ)، ﻧﻘﻄﺔ ﮐﻤﺘﺮﯾﻦ ﻓﺸﺎﺭ ﺩﺭ ﻗﺴﻤﺖ ﻣﮑﺶ ﭘﻤﭗ ﺧﻮﺍﻫﺪ ﺑﻮﺩ.
ﺑـﺎ ﺍﯾﻦ ﺣﺎﻝ ﺑﺮﺍﯼ ﯾﮏ ﺳﯿﺴـﺘﻢ ﮐﻪ ﻣـﺪﺍﺭ ﻫﯿﺪﺭﻭﻧﯿـﮏ ﺁﻥ ﺑﻪ ﺻﻮﺭﺕ ﻋﻤﻮﺩﯼ ﺗﻮﺯﯾﻊ ﺷـﺪﻩ ﺍﺳـﺖ (ﻣﺜـﻞ: ﯾﮏ ﺳـﺎﺧﺘﻤﺎﻥ ﭼﻨﺪ ﻃﺒﻘـﻪ)، ﻧﻘﻄﺔ ﮐﻤﺘﺮﯾﻦ ﻓﺸﺎﺭ ﺩﺭ ﺑﺎﻻﺗﺮﯾﻦ ﻧﻘﻄﺔ ﺳﯿﺴﺘﻢ، ﺑﺮ ﺭﻭﯼ ﺧﻂ ﻟﻮﻟﻪ ﮐﺸﯽ ﺑﺮﮔﺸﺖ ﺑـﻪ ﭘﻤﭗ ﻣﯽﺑﺎﺷـﺪ.
ﺍﻣﺎ ﺑﻬﺘﺮﯾـﻦ ﻣﺤﻞ ﻣﻤﮑﻦ ﺍﺳـﺖ ﮐﻮﭼﮑﺘﺮﯾـﻦ ﺍﻧﺪﺍﺯﻩ (ﺳـﺎﯾﺰ) ﻣﻨﺒﻊ ﺭﺍ ﻧﺘﯿﺠﻪ ﻧﺪﻫﺪ. ﻣﻤﮑﻦ ﺍﺳﺖ ﻣﮑﺎﻧﯽ ﮐﻪ ﻣﻨﺒﻊ ﻗﺮﺍﺭ ﻣﯽﮔﯿﺮﺩ، ﺭﺍﺣﺖﺗﺮﯾـﻦ ﻣﺤﻞ ﺍﺯ ﻧﻈـﺮ ﻗﺎﺑﻠﯿﺖ ﺩﺳﺘﺮﺳـﯽ ﺑﺎﺷـﺪ، ﻣﺜﻼً ﺩﺭ ﯾـﮏ ﺍﺗﺎﻕ ﺗﺎﺳﯿﺴـﺎﺕ (ﻣﻮﺗﻮﺭﺧﺎﻧﻪ) ﻓﻀﺎﯼ ﮐﺎﻓﯽ ﺑﺮﺍﺮﺍﺭﮔﯿﺮﯼ ﻣﻨﺒﻊ ﺩﺭ ﺩﺳـﺘﺮﺱ ﺑﻮﺩﻩ ﻭ ﺑﻪﺭﺍﺣﺘﯽ ﻣﯽﺗﻮﺍﻥ ﺁﻥ ﺭﺍ ﺳـﺮﻭﯾﺲ ﻭ ﺗﻌﻤﯿـﺮ ﻧﻤﻮﺩ. ﺑﻪﻋﻨﻮﺍﻥ ﻣﺜﺎﻝ: ﻧﻘﻄﺔ ﮐﻤﺘﺮﯾﻦ ﻓﺸـﺎﺭ ﻣﻤﮑﻦ ﺍﺳﺖ ﺩﺭ ﻗﺴـﻤﺖ ﺑﺎﻻﯾﯽ ﯾﮏ ﺍﺗﺎﻕ ﻣﻬﻤﺎﻥ ﺩﺭ ﯾﮏ ﻫﺘﻞ ﻭﺍﻗﻊ ﺷـﻮﺩ ﮐﻪ ﺍﯾﻦ ﻣﺤﻞ ﺑﺮﺍﯼ ﻧﺼﺐ ﯾﮏ متری منبع ﺍﻧﺒﺴﺎﻁ ﻣﻨﺎﺳﺐ ﻧﯿﺴﺖ.
واﻗﻌﻴﺖ: ﺍﯾﻦ ﺍﺩﻋﺎ ﻧﺘﯿﺠﻪ ﺳـﺮﺩﺭﮔﻤﯽ ﻭ ﻧﮕﺮﺍﻧﯽ ﺑﯽﻣﻮﺭﺩ ﻣﻬﻨﺪﺳـﯿﻦ ﺑﺨﺶ ﺭﺍﻫﺒﺮﯼ ﻣﯽﺑﺎﺷـﺪ، ﺑﻪ ﺩﻟﯿﻞ ﺍﯾﻨﮑﻪ ﺁﻥ ﻫﺎ ﺷـﺎﻫﺪ ﻃﯿﻒ ﮔﺴﺘﺮﺩﻩﺍﯼ ﺍﺯ ﺗﻐﯿﯿﺮﺍﺕ ﻓﺸـﺎﺭ ﺩﺭ ﺯﻣﺎﻥ ﺭﺍﻫﺒﺮﯼ ﺳﯿﺴـﺘﻢ ﻫﺴﺘﻨﺪ. ﻓﺸـﺎﺭ ﻣﻨﺒﻊ ﺍﻧﺒﺴﺎﻁ ﺩﺭ ﻫﻨﮕﺎﻡ ﺭﻭﺷﻦ ﻭ ﺧﺎﻣﻮﺵ ﺷـﺪﻥ ﭘﻤﭗﻫﺎ ﺗﻐﯿﯿﺮ ﻧﺨﻮﺍﻫﺪ ﮐﺮﺩ (ﺑﻪ ﺟﺰ ﯾﮏ ﻧﻮﺳـﺎﻥ ﺟﺰﺋﯽ)، ﺍﻣّﺎ ﺯﻣﺎﻧﯽ ﮐﻪ ﺩﻣﺎﯼ ﺳـﯿﺎﻝ ﺩﺭ ﺳﯿﺴﺘﻢ ﺗﻐﯿﯿﺮ ﻣﯽﮐﻨﺪ، ﮐﻞ ﺁﺏ ﺳﯿﺴﺘﻢ ﺩﭼﺎﺭ ﺍﻧﺒﺴﺎﻁ ﻭ ﺍﻧﻘﺒﺎﺽ ﺷﺪﻩ، ﺑﻨﺎﺑﺮﺍﯾﻦ ﻓﺸﺎﺭ ﻧﯿﺰ ﺗﻐﯿﯿﺮ ﺧﻮﺍﻫﺪ ﮐﺮﺩ.
ﻫﻤﺎﻧﻄﻮﺭﮐﻪ ﺩﺭ ﻣﺜﺎﻝﻫﺎﯼ ﺯﯾﺮ ﻧﺸـﺎﻥ ﺩﺍﺩﻩ ﺷﺪﻩ، ﻃﺮﺍﺡ ﻣﯽﺗﻮﺍﻧﺪ ﯾﮏ ﻣﻨﺒﻊ ﺭﺍ ﺑﻪ ﻣﻨﻈﻮﺭ ﺭﺍﻫﺒﺮﯼ ﺩﺭ ﻃﯿﻒ ﮔﺴـﺘﺮﺩﻩﺍﯼ ﺍﺯ ﻓﺸﺎﺭﻫﺎ، ﻣﺜﻼً: ﺑﺎ ﻧﺴﺒﺖ 10 ﺗﺎ 1 ﯾﺎ ﺑﯿﺸﺘﺮ ﺍﻧﺘﺨﺎﺏ ﻧﻤﺎﯾﺪ.
ﺑﻪ ﻣﻨﻈﻮﺭ ﺩﺭﮎ ﺑﻬﺘﺮ مفاهیم منبع انبساط ﻭ ﺍﻧﺘﺨﺎﺏ ﻣﻨﺎﺳﺐ ، ﻣﺎ ﺑﺎﯾﺪ ﮐﺎﺭ ﺧﻮﺩ ﺭﺍ ﺍﺯ ﻣﻔﺎﻫﯿﻢ پایه ﻣﻨبع ﺍﻧﺒﺴﺎﻁ ﺷﺮﻭﻉ ﮐﻨﯿﻢ.
دلایل استفاده از منبع انبساط
ﻣﻨﺎﺑﻊ ﺍﻧﺒﺴـﺎﻁ ﺑـﻪ ﻣﻨﻈﻮﺭ ﺍﻫﺪﺍﻑ ﺯﯾـﺮ ﺩﺭ ﺳﯿﺴـﺘﻢﻫﺎﯼ ﻫﯿﺪﺭﻭﻧﯿﮏ ﺑﺴﺘﻪ، ﺑﻪ ﮐﺎﺭ ﻣﯽﺭﻭﻧﺪ:
- ﭘﺬﯾﺮﺵِ ﺗﻐﯿﯿﺮﺍﺕ ﺣﺠﻢ ﺁﺏ ﺳﯿﺴﺘﻢ، ﺯﯾﺮﺍ ﺑﺎ ﺗﻐﯿﯿﺮﺍﺕ ﺩﻣﺎ، ﭼﮕﺎﻟﯽ ﺁﺏ ﻧﯿﺰ ﺗﻐﯿﯿﺮ ﻣﯽﮐﻨﺪ. ﻭ ﺍﯾﻨﮑﻪ ﻓﺸـﺎﺭﻫﺎﯼ ﺳﯿﺴﺘﻢ ﺭﺍ ﮐﻤﺘﺮ (ﺯﯾﺮ) ﻣﺤﺪﻭﺩﺓ ﺭﺗﺒﻪﺑﻨـﺪﯼ (ﺭﺩﻩﺑﻨـﺪﯼ) ﻓﺸـﺎﺭ ﻣﺠﺎﺯ ﺗﺠﻬﯿـﺰﺍﺕ ﻭ ﺍﺟﺰﺍﯼ ﺳﯿﺴـﺘﻢ ﻟﻮﻟﻪﮐﺸﯽ ﻧﮕﻪ ﺩﺍﺭﺩ.
- ﺍﯾﺠﺎﺩ ﯾﮏ ﻓﺸـﺎﺭ ﻣﺜﺒـﺖ ﺩﺭ ﺗﻤﺎﻣﯽ ﺑﺨﺶﻫﺎﯼ ﺳﯿﺴـﺘﻢ ﺑـﻪ ﻣﻨﻈﻮﺭ ﺟﻠﻮﮔﯿﺮﯼ ﺍﺯ ﻧﻔﻮﺫ ﻫﻮﺍ ﺑﻪ ﺩﺍﺧﻞ ﺳﯿﺴﺘﻢ.
- ﺍﯾﺠﺎﺩ ﯾﮏ ﻓﺸـﺎﺭ ﮐﺎﻓﯽ ﻭ ﻣﻨﺎﺳـﺐ ﺩﺭ ﺗﻤﺎﻣﯽ ﺑﺨﺶﻫﺎﯼ ﺳﯿﺴـﺘﻢ ﺑﻪ ﻣﻨﻈﻮﺭ ﺟﻠﻮﮔﯿـﺮﯼ ﺍﺯ ﺑﻪﺟﻮﺵ ﺁﻣـﺪﻥ ﺁﺏ، ﺍﺯ ﺟﻤﻠﻪ ﮐﺎﻭﯾﺘﺎﺳـﯿﻮﻥ ﺩﺭ ﺷﯿﺮﻫﺎﯼ ﮐﻨﺘﺮﻝ ﻭ ﺳﺎﯾﯿﺪﮔﯽﻫﺎﯼ ﻣﺸﺎﺑﻪ.
- ﺍﯾﺠﺎﺩ ﻫﺪ ﻣﺜﺒﺖ ﺧﺎﻟﺺ ﺩﺭ ﻣﮑﺶ ﭘﻤﭗﻫﺎ .(NPSHr)
ﺩﻭ ﻧﮑﺘـﻪ ﺍﺧﯿﺮ ﻣﻌﻤﻮﻻً ﺩﺭ ﺳﯿﺴـﺘﻢﻫﺎﯼ ﺁﺏ ﺩﺍﻍ ﺑﺎ ﺩﻣـﺎﯼ ﺑﺎﻻ ﮐﺎﺭﺑﺮﺩ ﺩﺍﺭﺩ. ﺑﺮﺍﯼ ﺑﯿﺸـﺘﺮ ﮐﺎﺭﺑﺮﺩﻫﺎﯼ HVAC، ﻓﻘﻂ ﺩﻭ نکته ﺍﻭﻝ مفاهیم منبع انبساط، ﻧﯿﺎﺯ ﺑﻪ ﺑﺮﺭﺳﯽ ﺩﺍﺭﻧﺪ.
پیشنهاد مطالعه : منبع انبساط پمپ
اﻧﻮاع منبع انبساط
ﺍﺳﺎﺳﺎً ﺩﻭ ﻧﻮﻉ ﻣﻨﺒﻊ ﺍﻧﺒﺴﺎﻁ ﻭﺟﻮﺩ ﺩﺍﺭﺩ:
ﻧﻮﻉ "ﻣﻨﺒـﻊ" ﯾﺎ "ﻓﻮﻻﺩﯼ ﺳـﺎﺩﻩ" ( ﺁﺏ ﺩﺭ ﺗﻤﺎﺱ ﺑﺎ ﻫﻮﺍ ﻣﯽﺑﺎﺷـﺪ )، ﮐﻪ ﻣﻤﮑﻦ ﺍﺳـﺖ ﺑﻪ ﺻﻮﺭﺕ ﺍﺗﻤﺴﻔﺮﯾﮏ ( ﺑﺎ ﺍﺗﻤﺴﻔﺮ ﺍﺭﺗﺒﺎﻁ ﺩﺍﺷﺘﻪ ﺑﺎﺷﺪ ) ﯾﺎ ﺗﺤﺖ ﻓﺸﺎﺭ ﺑﺎﺷﺪ.
ﻣﻨﺎﺑﻊ ﻧـﻮﻉ ﺩﯾﺎﻓﺮﺍﮔﻤﯽ ﯾﺎ ﻏﺸـﺎﯾﯽ (bladder) ( ﺁﺏ ﻭ ﻫﻮﺍ ﺗﻮﺳـﻂ ﯾﮏﺩﯾﺎﻓﺮﺍﮔـﻢ ﯾﺎ ﻏﺸـﺎﯼ ﺍﻧﻌﻄـﺎﻑ ﭘﺬﯾـﺮ ﺍﺯ ﯾﮑﺪﯾﮕﺮ ﺟـﺪﺍ ﺷـﺪﻩﺍﻧﺪ، ﺍﯾﻦ ﺩﯾﺎﻓﺮﺍﮔﻢ ﯾﺎ ﻏﺸـﺎ ﻣﻌﻤﻮﻻً ﺍﺯ ﻻﺳـﺘﯿﮏ ﺳـﺎﺧﺘﻪ ﺷـﺪﻩ ﺍﺳﺖ. ﻗﺴﻤﺖ ﻏﺸﺎﯾﯽ ﻣﻮﺟﻮﺩ ﺩﺭ ﻣﻨﺎﺑﻊ ﻧﻮﻉ ﻏﺸﺎﯾﯽ ﺩﺭ ﺻﻮﺭﺕ ﺧﺮﺍﺑﯽ ﻣﻌﻤﻮﻻً ﻗﺎﺑﻞ ﺗﻌﻮﯾﺾ ﻫﺴﺘﻨﺪ ﺩﺭ ﺣﺎﻟﯽ ﮐﻪ ﺩﺭ ﻣﻨﺎﺑﻊ ﻧﻮﻉ ﺩﯾﺎﻓﺮﺍﮔﻤﯽ ﺧﺮﺍﺑﯽ ﺩﯾﺎﻓﺮﺍﮔﻢ باعث می شود که کل منبع به تعویض داشته باشد.
ﻫﺮ ﺩﻭ ﻧﻮﻉ ﻣﻨبع ﺍﻧﺒﺴﺎﻁ ﺩﺭ ﺣﯿﻦ ﮐﺎﺭ، ﺑﻪ ﺁﺏ ﺍﺟﺎﺯﻩ ﻣﯽﺩﻫﺪ ﺗﺎ ﺑﺎ ﻓﺸﺮﺩﻩ ﺷﺪﻥ ﯾﮏ ﻣﺤﻔﻈﺔ ﻫﻮﺍ ﺍﺛﺮﺍﺕ ﻧﺎﺷﯽ ﺍﻧﺒﺴﺎﻁ ﺁﺏ ﺑﺮ ﺍﺛﺮ ﺍﻓﺰﺍﯾﺶ ﺩﻣﺎ ﺭﺍ ﺧﻨﺜﯽ نماید، زمانی که سیستم سرد است و آب در منبع در حداقل سطح خود می باشد ، ﻓﺸـﺎﺭ ﻣﻨﺒﻊ ﺩﺭ ﺣﺪ ﻓﺸﺎﺭ ﺍﻭﻟﯿﻪ ﯾﺎ ﻓﺸﺎﺭ ﭘﯿﺶ ﺷﺎﺭﮊ (ﺷﺎﺭﮊ ﺍﻭﻟﯿﻪ) Pi ﻣﯽﺑﺎﺷﺪ.
ﻫﻤﺎﻧﻄـﻮﺭ ﮐﻪ ﺑـﺎ ﺑﺎﻻ ﺭﻓﺘـﻦ ﺩﻣﺎﯼ ﺳﯿﺴـﺘﻢ، ﺁﺏ ﺩﺍﺧﻞ ﺁﻥ ﻣﻨﺒﺴـﻂ ﻣﯽﺷـﻮﺩ، ﺁﺏ ﺑﻪ ﺩﺍﺧﻞ ﻣﻨﺒﻊ ﺍﻧﺒﺴـﺎﻁ ﺟﺮﯾﺎﻥ ﯾﺎﻓﺘـﻪ ﻭ ﻣﺤﻔﻈﻪ ﻫﻮﺍﯼ ﺁﻥﺭﺍ ﻓﺸـﺮﺩﻩ ﻣﯽﮐﻨـﺪ، ﮐﻪ ﺳـﺒﺐ ﺍﻓﺰﺍﯾﺶ ﻓﺸـﺎﺭ (ﻫﺮ ﺩﻭ) ﻫﻮﺍ ﻭ ﺁﺏ ﺳﯿﺴـﺘﻢ ﻣﯽﺷﻮﺩ.
ﺯﻣﺎﻧﯽ ﮐﻪ ﺳﯿﺴـﺘﻢ ﺩﺭ ﺑﺎﻻﺗﺮﯾﻦ ﺩﻣﺎﯼ ﺧﻮﺩ (ﺩﻣـﺎﯼ ﻃﺮﺍﺣﯽ) ﻭ ﺣﺠﻢ ﺁﺏ ﻣﻨﺒﻊ ﺩﺭ ﻇﺮﻓﯿﺖ ﻃﺮﺍﺣﯽ ﻗﺮﺍﺭ ﺩﺍﺭﺩ، ﻧﺘﯿﺠﻪ ﺍﯾﻨﺴـﺖ ﮐﻪ ﻓﺸﺎﺭ ﻫﻮﺍ ﻭ ﺁﺏ ﺳﯿﺴﺘﻢ ﺑﺮﺍﺑﺮ ﯾﺎ ﮐﻤﺘﺮ ﺍﺯ ﺣﺪﺍﮐﺜﺮ ﻓﺸـﺎﺭ ﻃﺮﺍﺣﯽ Pmax ﻣﯽﺑﺎﺷﺪ. ﻫﺮ ﺩﻭ ﻓﺸﺎﺭ Pi ﻭ Pmax (ﻓﺸـﺎﺭ ﺍﻭﻟﯿﻪ ﻭ ﺣﺪﺍﮐﺜﺮ ﻓﺸـﺎﺭ) ﺗﻮﺳﻂ ﻃﺮﺍﺡ ﻭ ﺑﻪﻋﻨﻮﺍﻥ ﺑﺨﺸﯽ ﺍﺯ ﻓﺮﺁﯾﻨﺪ ﺍﻧﺘﺨﺎﺏ ﻣﻨﺒﻊ ﺍﻧﺒﺴﺎﻁ ﺍﺯ ﭘﯿﺶ ﺗﻌﯿﯿﻦ ﺷﺪﻩﺍﻧﺪ، ﮐﻪ ﺭﻭﺵ ﺗﻌﯿﯿﻦ ﺁﻥ ﻫﺎ ﺑﻪ ﻗﺮﺍﺭ ﺯﯾﺮ ﺍﺳﺖ:
ﻓﺸﺎر اوﻟﻴﻪ منبع انبساط
ﻓﺸـﺎﺭ ﺍﻭﻟﯿﻪ ﯾﺎ ﻓﺸﺎﺭ ﭘﯿﺶ ﺷـﺎﺭﮊ ﻣﻨﺒﻊ Pi و P1 (ﺑﻪ ﺻﻮﺭﺕ ﻓﺸﺎﺭ ﻧﺴﺒﯽ) ﺑﺎﯾﺪ ﺑﺮﺍﺑﺮ ﻭ ﯾﺎ ﺑﺰﺭﮔﺘﺮ ﺍﺯ ﺑﯿﺸﺘﺮﯾﻦ ﻣﻘﺎﺩﯾﺮ ﺯﯾﺮ ﺑﺎﺷﺪ:
A. ﺣﺪﺍﻗﻞ ﻓﺸـﺎﺭ ﻣﻮﺭﺩ ﻧﯿﺎﺯ ﺑﻪ ﻣﻨﻈﻮﺭ ﺟﻠﻮﮔﯿﺮﯼ ﺍﺯ ﺑﺨﺎﺭ ﺷـﺪﻥ ﺁﺏ ﻭ ﺍﯾﺠﺎﺩ ﯾﮏ ﻓﺸﺎﺭ ﻣﺜﺒﺖ ﺩﺭ ﺗﻤﺎﻣﯽ ﻧﻘﺎﻁ ﺳﯿﺴﺘﻢ.( مفاهیم منبع انبساط)
ﺍﯾﻦ ﻓﺸﺎﺭ ﻣﯽ ﺗﻮﺍﻧﺪ ﺑﻪ ﺻﻮﺭﺕ ﺯﯾﺮ ﺗﻌﯿﯿﻦ ﺷﻮﺩ:
1-ﭘﯿﺪﺍ ﮐـﺮﺩﻥ ﻧﻘﻄﺔ ﺣﺪﺍﻗﻞ ﻓﺸـﺎﺭ (LPP) ﺩﺭ ﺳﯿﺴـﺘﻢ ﺯﻣﺎﻧـﯽ ﮐﻪ ﭘﻤﭗ ﺭﻭﺷـﻦ ﺍﺳـﺖ. ﺑﺮﺍﯼ ﺍﻧﺠﺎﻡ ﺍﯾﻦ ﮐﺎﺭ، ﺍﺯ ﻧﻘﻄﻪﺍﯼ ﺩﺭ ﺑﺎﻻﺗﺮﯾﻦ ﺳـﻄﺢ (ﺗـﺮﺍﺯ ﺍﺭﺗﻔﺎﻋـﯽ) ﺑـﺮ ﺭﻭﯼ ﺧﻂ ﻟﻮﻟﮥ ﺑﺮﮔﺸـﺖ ﺑﻪ ﻣﮑﺶ ﭘﻤﭗ ﺷـﺮﻭﻉ ﮐﻨﯿـﺪ (ﻧﻘﻄﺔ A ﺩﺭ ﺷـﮑﻞ .(1
ﺑﻪ ﻣﻨﻈﻮﺭ ﻣﺤﺎﺳـﺒﺔ ﺍﻓﺖ ﻓﺸـﺎﺭ ﺧﺎﻟﺺ ﺍﺯ ﺍﯾﻦ ﻧﻘﻄـﻪ ﺗﺎ ﻣﮑﺶ ﭘﻤﭗ ﻫﻤﺮﺍﻩ ﺑﺎ ﺍﻓﺖ ﻫﺪ ﺩﯾﻨﺎﻣﯿﮏ (ﺳـﺮﻋﺘﯽ) ﻭ ﺍﺻﻄﮑﺎﮐﯽ ﺑﻪ ﺻﻮﺭﺕ ﻣﻨﻔﯽ، ﻭ ﺍﻓﺰﺍﯾﺶ ﻫﺪ ﺍﺳﺘﺎﺗﯿﮏ ﻧﺎﺷﯽ ﺍﺯ ﺍﺭﺗﻔﺎﻉ ﺑﻪ ﺻﻮﺭﺕ ﻣﺜﺒﺖ ﺩﺭ ﻧﻈﺮ ﮔﺮﻓﺘﻪ ﺷﻮﺩ. ﺍﯾﻦ ﻧﻘﻄﻪ ﻫﻤﺮﺍﻩ ﺑﺎ ﮐﻤﺘﺮﯾﻦ ﻓﺸﺎﺭ ﺧﺎﻟﺺ، ﻧﻘﻄﺔ LPP ﻣﯽﺑﺎﺷﺪ.
]ﺍﺯ ﺁﻧﺠﺎ ﮐﻪ ﻧﻘﻄﺔ A ﻧﺴﺒﺖ ﺑﻪ ﻣﮑﺶ ﭘﻤﭗ ﺩﺭ ﺗﺮﺍﺯ ﺑﺎﻻﺗﺮﯼ ﻭﺍﻗﻊ ﺷﺪﻩ، ﺑﻨﺎﺑﺮﺍﯾﻦ ﻫﺪ ﺍﺳﺘﺎﺗﯿﮑﯽ ﻧﺎﺷﯽ ﺍﺯ ﺍﺭﺗﻔﺎﻉ ﻣﺜﺒﺖ ﻣﯽ ﺑﺎﺷﺪ.[
ﺩﺭ ﺻﻮﺭﺗﯽ ﮐﻪ ﺷـﻤﺎ ﻧﺴـﺒﺖ ﺑﻪ ﺍﺭﺗﻔﺎﻉ ﻣﺒﻨﺎﯼ ﺧـﻮﺩ ﺍﺯ ﻧﻘﻄﻪﺍﯼ ﺑﺎﻻ ﺑﻪ ﺳـﻤﺖ ﭘﺎﯾﯿﻦ ﺣﺮﮐﺖ ﮐﻨﯿﺪ، ﻓﺸﺎﺭ ﺍﺳﺘﺎﺗﯿﮏ ﺍﻓﺰﺍﯾﺶ ﭘﯿﺪﺍ ﻣﯽﮐﻨﺪ ﺑﻪ ﻃﻮﺭﯼ ﮐﻪ ﺑﻪ ﺍﺯﺍﯼ ﻫﺮ ﯾﮏ 1 ﻓﻮﺕ ﺍﺭﺗﻔﺎﻋﯽ ﮐﻪ ﺑﻪ ﺳـﻤﺖ ﭘﺎﯾﯿﻦ ﺣﺮﮐﺖ ﻣﯽﮐﻨﯿﺪ، 1 ﻓﻮﺕ ﻫﺪ ﺁﻥ ﻧﻘﻄﻪ ﺍﻓﺰﺍﯾﺶ ﻣﯽﯾﺎﺑﺪ.
-2 ﺗﻌﯿﯿﻦ Pmin، ﺣﺪﺍﻗﻞ ﻣﯿﺰﺍﻥ ﻓﺸـﺎﺭ ﻣﻮﺭﺩ ﻧﯿـﺎﺯ ﺩﺭ ﻧﻘﻄﺔ LPP ﺑﻪ ﻣﻨﻈﻮﺭ ﺣﻔﻆ ﻓﺸـﺎﺭ ﻣﺜﺒﺖ (ﺑﻪ ﻣﻨﻈﻮﺭ ﺟﻠﻮﮔﯿﺮﯼ ﺍﺯ ﻧﻔﻮﺫ ﻫﻮﺍ ﺑﻪ ﺩﺍﺧﻞ ﺳﯿﺴﺘﻢ ﺯﻣﺎﻧﯽ ﮐﻪ ﯾﮏ ﺷﯿﺮ ﻫﻮﺍﮔﯿﺮﯼ ﺑﺎﺯ ﺍﺳﺖ) ﻭ ﺟﻠﻮﮔﯿﺮﯼ ﺍﺯ ﺑﻪ ﺟﻮﺵ ﺁﻣﺪﻥ ﺁﺏ ﺳﯿﺴﺘﻢ ﻣﯽﺑﺎﺷﺪ. ﺣﺪﺍﻗﻞ ﻣﯿﺰﺍﻥ ﻓﺸﺎﺭ ﻣﻌﻤﻮﻝ ﮐﻪ ﭘﯿﺸﻨﻬﺎﺩ ﺷﺪﻩ 4 (psig) 28kPa ﺑﻪ ﻋﻼﻭﻩ 25% ﻓﺸـﺎﺭ ﺑﺨﺎﺭ ﺍﺷﺒﺎﻉ، ﺯﻣﺎﻧﯽ ﮐﻪ ﺍﯾﻦ ﻓﺸﺎﺭ (ﻓﺸﺎﺭ ﺑﺨﺎﺭ ﺍﺷﺒﺎﻉ) ﺑﯿﺸﺘﺮ ﺍﺯ ﻓﺸﺎﺭ ﺍﺗﻤﺴﻔﺮ ﺑﺎﺷﺪ (ﺷﮑﻞ .(2
ﺑﺮﺍﯼ ﺳﯿﺴﺘﻢﻫﺎﯼ ﺁﺑﺴﺮﺩ ﭼﯿﻠﺮ، ﺁﺏ ﮐﻨﺪﺍﻧﺴﻮﺭ ﻭ ﺳﯿﺴﺘﻢﻫﺎﯼ ﺁﺑﮕﺮﻡ ﻣﻌﻤﻮﻟﯽ (ﮐﻤﺘﺮ ﺍﺯ (200°F (93°C) ﺣﺪﺍﻗﻞ ﻓﺸـﺎﺭ ﭘﯿﺸﻨﻬﺎﺩ ﺷﺪﻩ ( 82 kPa ) 4 psig ﻣﯽ ﺑﺎﺷﺪ.
ﺑﺮﺍﯼ ﺳﯿﺴﺘﻢﻫﺎﯼ ﺁﺑﮕﺮﻡ ﺑﺎ ﺩﻣﺎﯼ ﺑﺎﻻ، ﺣﺪﺍﻗﻞ ﻓﺸﺎﺭ ﻣﻮﺭﺩ ﻧﯿﺎﺯ، ﺑﺎﻻﺗﺮ ﺍﺯ ﺁﻧﭽﻪ ﮐﻪ ﺩﺭ ﺷـﮑﻞ (2) ﻧﺸـﺎﻥ ﺩﺍﺩﻩ ﺷﺪﻩ ﻣﯽﺑﺎﺷـﺪ. ﺑﺮﺍﯼ ﺳﯿﺴﺘﻢﻫﺎﯼ ﺁﺑﮕﺮﻡ ﮐﻪ ﺩﺍﺭﺍﯼ ﺷﯿﺮﻫﺎﯼ ﮐﻨﺘﺮﻝ ﺑﺎ ﺍﻓﺖ ﻓﺸﺎﺭ ﺑﺎﻻ (ﺯﯾﺎﺩ) ﺑﻮﺩﻩ ﻭ ﺩﺭ ﻧﺰﺩﯾﮑﯽ ﻧﻘﻄـﮥ LPP ﻭﺍﻗﻊ ﺷـﺪﻩﺍﻧﺪ، ﺑﻪ ﻣﻨﻈﻮﺭ ﺟﻠﻮﮔﯿﺮﯼ ﺍﺯ ﺍﯾﺠﺎﺩ ﮐﺎﻭﯾﺘﺎﺳـﯿﻮﻥ ﺩﺭ ﺷـﯿﺮ ﮐﻪ ﺩﺭ ﭘﺎﯾﯿﻦ ﺩﺳـﺖ ﻗﺮﺍﺭ ﮔﺮﻓﺘﻪ ) ﺩﺭ ﭘﺎﯾﯿﻦ ﺩﺳـﺖ ﻧﻘﻄﺔ (LPP ﻣﻤﮑﻦ ﺍﺳﺖ ﺑﻪ ﺣﺪﺍﻗﻞ ﻓﺸﺎﺭ ﺑﺎﻻﺗﺮﯼ ﻧﯿﺎﺯ ﺑﺎﺷﺪ.
-3 ﻣﻮﻗﻌﯿﺖ ﻗﺮﺍﮔﯿﺮﯼ ﻣﻨﺒﻊ ، ﺩﺭ ﺻﻮﺭﺗﯽ ﮐﻪ ﻣﻨﺒﻊ ﺩﺭ ﻧﺰﺩﯾﮑﯽ ﻧﻘﻄﻪ LPPﻭﺍﻗﻊ ﺷـﻮﺩ، ﻣﻨﺒﻊ ﮐﻮﭼﮑﺘﺮ ﻭ ﮐـﻢ ﻫﺰﯾﻨﻪﺗﺮ ﺧﻮﺍﻫﺪ ﺑـﻮﺩ. ﺑﺎ ﺍﯾﻦﺣﺎﻝ، ﻓﻀﺎﯼ ﻣﻮﺭﺩ ﻧﯿﺎﺯ ﻭ ﻣﻼﺣﻈﺎﺕ ﺩﯾﮕﺮ (ﺍﺯ ﻗﺒﯿﻞ : ﺩﺳﺘﺮﺳـﯽ ﺁﺳﺎﻥ ﺗﺮ ﺑﻪ ﻣﻨﺒـﻊ ﺁﺏ ﺗﻐﺬﯾﻪ، ﮐﻪ ﺑﺎﯾﺪ ﺩﺭ ﻧﺰﺩﯾﮑﯽ ﻫﻤﺎﻥ ﻧﻘﻄﻪ ﺑﻪ ﺳﯿﺴـﺘﻢ ﻣﺘﺼﻞ ﺷﻮﺩ.) ﻣﻤﮑﻦ ﺍﺳﺖ ﺑﺎﻋﺚ ﺷﻮﺩ ﻣﺤﻞ ﻣﻨﺎﺳﺐ ﺩﯾﮕﺮﯼ ﺍﻧﺘﺨﺎﺏ ﺷﻮﺩ.

◄ ﺷﻜﻞ1: ﺳﻴﺴﺘﻢ رایج در ﻳﻚ ﺳﺎﺧﺘﻤﺎن ﭼﻨﺪ طبقه
-4 محاسبه ﺍﻓﺰﺍﯾﺶ ﻓﺸﺎﺭ ﺍﺳـﺘﺎﺗﯿﮑﯽ Ps,LPP →tank اﺯ ﻧﻘﻄﺔ LPP ﺗﺎ ﻧﻘﻄﺔ ﺍﺗﺼﺎﻝ ﻣﻨﺒﻊ. ﺍﯾﻦ ﺑﻪ ﺳـﺎﺩﮔﯽ ﺍﺯ ﻃﺮﯾﻖ ﺍﺧﺘـﻼﻑ ﺗﺮﺍﺯ ﺍﺭﺗﻔﺎﻋﯽ ﺍﯾﻦ ﺩﻭ ﻧﻘﻄﻪ ﺑﺪﺳﺖ ﻣﯽﺁﯾﺪ (ﺑﺮﺍﯼ ﻓﺸﺎﺭ ﺩﺭ ﻭﺍﺣﺪ ﻓﻮﺕ ﺁﺏ).
-5 ﺩﺭ ﺻﻮﺭﺗـﯽ ﮐـﻪ ﻣﻨﺒـﻊ ﺩﺭ ﺑﺎﻻ ﺩﺳـﺖ ﻧﻘﻄﺔ LPP ﺑﺎﺷـﺪ، ﺍﻓﺖ ﻓﺸـﺎﺭ ﺍﺻﻄﮑﺎﮐـﯽ P f , tank →LPP اﺯ نقطه ﺍﺗﺼـﺎﻝ ﻣﻨﺒﻊ ﺗـﺎ ﻧﻘﻄﺔ LPP ﺯﻣﺎﻧﯽ ﮐﻪ ﭘﻤﭗ ﺭﻭﺷـﻦ ﺍﺳـﺖ ﺭﺍ ﻣﺤﺎﺳـﺒﻪ ﮐﻨﯿﺪ. ﺩﺭ ﺻﻮﺭﺗﯽ ﮐﻪ ﻣﻨﺒﻊ ﺩﺭ ﭘﺎﯾﯿﻦ ﺩﺳﺖ ﻧﻘﻄﺔ LPP ﻗﺮﺍﺭ ﮔﺮﻓﺘﻪ ﺑﺎﺷﺪ، P f , tank →LPP منفی ﻣﯽﺑﺎﺷـﺪ. ﺍﻣّـﺎ ﺩﺭ ﺻﻮﺭﺗﯽ ﮐﻪ ﺍﯾـﻦ ﻣﻮﺿﻮﻉ ﺩﺭ ﻣﺤﺎﺳـﺒﺎﺕ Pi ﺩﺭ ﻧﻈﺮ ﮔﺮﻓﺘﻪ ﺷـﺪﻩ ﺑﺎﺷﺪ، ﻓﺸﺎﺭﻫﺎﯼ ﺣﺪﺍﻗﻞ ﺗﻨﻬﺎ ﺯﻣﺎﻧﯽ ﮐﻪ ﭘﻤﭗ ﺩﺭ ﺣﺎﻝ ﮐﺎﺭ (ﺭﻭﺷﻦ) ﺍﺳﺖ، ﺍﯾﺠﺎﺩ ﺧﻮﺍﻫﺪ ﺷﺪ.

◄ ﺷﻜﻞ2: ﺣﺪاﻗﻞ ﻓﺸﺎر ﭘﻴﺸﻨﻬﺎدي و ﻓﺸﺎر ﺑﺨﺎر اﺷباع آب
ﻓﺸـﺎﺭ ﻣﻮﺭﺩ ﻧﻈﺮ، ﺍﻓﺖ ﺧﻮﺍﻫﺪ ﮐﺮﺩ. ﺑﻨﺎﺑﺮﺍﯾـﻦ ﺩﺭ ﺻﻮﺭﺗﯽ ﮐﻪ ﻣﻨﺒﻊ ﺩﺭ ﭘﺎﯾﯿﻦ ﺩﺳـﺖ ﻧﻘﻄﺔ LPP ﺑﺎﺷـﺪ، ﺑﺎﯾﺪ ﺍﺯ ﺍﻓﺖ ﻓﺸـﺎﺭ P →LPP ﺻﺮﻓﻨﻈﺮ ﮐﺮﺩ (ﺍﻓﺖ ﻓﺸﺎﺭ ﺻﻔﺮ ﻓﺮﺽ ﺷﻮﺩ)
.6 ﻣﺤﺎﺳﺒﺔ ﺣﺪﺍﻗﻞ ﻓﺸﺎﺭ ﺍﻭﻟﯿﻪ ﯾﺎ ﻓﺸﺎﺭ ﭘﯿﺶ ﺷﺎﺭﮊ Pi ﻋﺒﺎﺭﺗﻨﺪ ﺍﺯ:
(1)

ﺍﻏﻠﺐ ﻓﺸـﺎﺭ ﭘﯿﺶ ﺷـﺎﺭﮊ ﻣﻨﺒـﻊ ﺭﺍ ﺣﺪﺍﻗـﻞ psig (83 kPa) 12 ﺩﺭ ﻧﻈﺮ ﻣﯽﮔﯿﺮﻧـﺪ، ﮐﻪ ﺍﯾﻦ ﻣﻘﺪﺍﺭ ﻓﺸـﺎﺭ ﺍﻭﻟﯿﻪ ﺑـﺮﺍﯼ ﻣﻨﺎﺑﻊ ﺩﯾﺎﻓﺮﺍﮔﻤﯽ ﻭ ﻏﺸـﺎﯾﯽ ﺯﻣﺎﻧﯽ ﮐﻪ ﻣﻘﺎﺩﯾﺮ ﺩﯾﮕﺮﯼ ﻣﺸـﺨﺺ ﻧﺸـﺪﻩ ﺑﺎﺷـﺪ، ﺑﻪ ﺻﻮﺭﺕ ﺍﺳـﺘﺎﻧﺪﺍﺭﺩ ﺻﻨﻌﺘﯽ ﭘﺬﯾﺮﻓﺘﻪ ﺷﺪﻩ ﺍﺳﺖ.
ﻣﻨﺎﺑـﻊ ﻣﻌﻤﻮﻻً ﺑﺮﺍﺳـﺎﺱ ﻓﺸـﺎﺭ ﻣﺸـﺨﺼﯽ ﺩﺭ ﮐﺎﺭﺧﺎﻧﻪ ﭘﯿﺶ ﺷـﺎﺭﮊ ﻣﯽﺷﻮﻧﺪ. ﺑﺎ ﺍﯾﻦ ﺣﺎﻝ، ﺍﯾﻦ ﻓﺸﺎﺭ ﭘﯿﺶ ﺷـﺎﺭﮊ ﺑﺎﯾﺪ ﺩﺭ ﺻﻮﺭﺕ ﻟﺰﻭﻡ ﻣﺠﺪﺩﺍً ﺗﻨﻈﯿﻢ ﺷـﻮﺩ. ﺑﺮﺍﯼ ﺍﯾﻦ ﻣﻨﻈﻮﺭ ﺍﺑﺘﺪﺍ، ﻫﺮ ﺩﺳـﺘﮕﺎﻩ ﺗﻮﻟﯿﺪ ﮐﻨﻨﺪﺓ ﮔﺮﻣﺎ ﮐﻪ ﺩﺭ ﺳﯿﺴـﺘﻢ ﻭﺟﻮﺩ ﺩﺍﺭﺩ ﺭﺍ ﺧﺎﻣﻮﺵ ﮐﻨﯿﺪ، ﺳـﭙﺲ ﺷـﯿﺮ ﺍﺭﺗﺒﺎﻃـﯽ ﺑﯿﻦ ﻣﻨﺒﻊ ﻭ ﺳﯿﺴـﺘﻢ ﺭﺍ ﺑﺴﺘﻪ، ﺑﺎ ﺍﯾﻦ ﮐﺎﺭ ﺍﺭﺗﺒﺎﻁ ﻣﻨﺒﻊ ﺍﺯ ﺳﯿﺴﺘﻢ ﻗﻄﻊ ﻣﯽﺷﻮﺩ، ﻣﻨﺒﻊ ﺭﺍ ﮐﺎﻣﻼً ﺗﺨﻠﯿﻪ ﮐﻨﯿﺪ، ﺳـﭙﺲ ﺑﺎ ﺍﺳﺘﻔﺎﺩﻩ ﺍﺯ ﯾﮏ ﮐﻤﭙﺮﺳـﻮﺭ ﻫﻮﺍ، ﻓﺸﺎﺭ ﻫﻮﺍﯼ ﻣﻨﺒﻊ ﺭﺍ ﮐﻨﺘﺮﻝ ﻭ ﺩﺭ ﺻﻮﺭﺕ ﻟﺰﻭﻡ ﺑﻪ ﮔﻮﻧﻪﺍﯼ ﺗﻨﻈﯿﻢ ﻧﻤﺎﺋﯿﺪ ﺗﺎ ﻓﺸﺎﺭ Pi ﺣﺎﺻﻞ ﺷﻮﺩ.
ﻗﺒﻞ ﺍﺯ ﺑﺎﺯ ﮐﺮﺩﻥ ﺷـﯿﺮ ﺍﺭﺗﺒﺎﻃﯽ ﺑﯿﻦ ﻣﻨﺒﻊ ﻭ ﺳﯿﺴﺘﻢ، ﺩﻣﺎﯼ ﺳﯿﺴﺘﻢ ﺑﺎﯾﺪ ﻧﺰﺩﯾﮏ ﺑﻪ ﮐﻤﺘﺮﯾﻦ ﺩﻣﺎ ﺑﺎﺷﺪ (ﻫﻤﺎﻥ ﺩﻣﺎﯾﯽ ﮐﻪ ﺩﺭ ﺍﻧﺘﺨﺎﺏ ﻣﻨﺒﻊ ﺩﺭ ﻧﻈﺮ ﮔﺮﻓﺘﻪ ﺧﻮﺍﻫﺪ ﺷـﺪ).
ﺍﺗﺼﺎﻝ ﻣﻨﺒﻊ ﺑﻪ ﯾﮏ ﺳﯿﺴـﺘﻢ ﮐﻪ ﻧﺴـﺒﺖ ﺑـﻪ ﺣﺪﺍﻗﻞ ﺩﻣﺎﯼ (ﻃﺮﺍﺣﯽ ﻓﺮﺽ ﺷـﺪﻩ ﺩﺭ ﻣﺤﺎﺳـﺒﻪ ﺣﺠﻢ ﻣﻨﺒﻊ) ﮔﺮﻣﺘﺮ ﺍﺳﺖ ﺑﺎﻋﺚ ﺧﻮﺍﻫﺪ ﺷـﺪ ﺯﻣﺎﻧﯽ ﮐﻪ ﺩﻣﺎﯼ ﺳﯿﺴﺘﻢ ﺍﻓﺖ ﮐﺮﺩﻩ ﻭ ﺣﺠﻢ ﺁﺏ ﺳﯿﺴﺘﻢ ﮐﺎﻫﺶ ﻣﯽﯾﺎﺑﺪ، ﻓﺸﺎﺭﻫﺎﯼ ﺣﺎﺻﻞ ﺷﺪﻩ ﮐﻤﺘﺮ ﺍﺯ Pi ﺷﻮﺩ.
B. ﺍﯾﺠﺎﺩ ﺣﺪﺍﻗﻞ ﻓﺸﺎﺭ ﺑﺪﯾﻦ ﻣﻨﻈﻮﺭ ﺍﺳﺖ ﮐﻪ ﻫﺪ ﺧﺎﻟﺺ ﻣﺜﺒﺖ ﻣﮑﺶ ﻣﻮﺟـﻮﺩ (NSPHa) ﺩﺭ ﻣﮑﺶ ﭘﻤـﭗ ﺭﺍ ﺑﺎﻻﺗﺮ ﺍﺯ ﺣﺪﺍﻗـﻞ ﻫﺪ ﺧﺎﻟﺺ ﻣﺜﺒﺖ ﻣﮑﺶ ﻣﻮﺭﺩ ﻧﯿﺎﺯ (NSPHr) ﺩﺭ ﭘﻤﭗﻫﺎ ﻧﮕﻪ ﺩﺍﺭﺩ:
ﻣﻌﯿﺎﺭ ﺗﺄﻣﯿﻦ NSPHr ﻋﺎﻣﻠﯽ ﺍﺳﺖ ﮐﻪ ﺩﺭ ﺗﻌﯿﯿﻦ Pi ﻓﻘﻂ ﺩﺭ ﺳﯿﺴﺘﻢﻫﺎﯼ ﺁﺑﮕـﺮﻡ ﺑﺎ ﺩﻣﺎﯼ ﺑﺎﻻ ﺑﯿﺶ ﺍﺯ ((93°C ، 200 درجه فارنهایت ﺩﺭ جایی که ﭘﻤﭗ ﻧﺴـﺒﺖ ﺑﻪ ﻣﻨﺒﻊ ﺍﻧﺒﺴـﺎﻁ (ﺍﺯ ﻧﻈﺮ ﻫﯿﺪﺭﻭﻧﯿﮑﯽ) ﺩﺍﺭﺍﯼ ﻓﺎﺻﻠﺔ ﻃﻮﻻﻧﯽ ﺑﻮﺩﻩ ﯾﺎ ﭘﻤﭗﻫﺎ ﺑﻪ ﻃـﻮﺭ ﻗﺎﺑﻞ ﺗﻮﺟﻬﯽ ﺑﺎﻻﺗﺮ ﺍﺯ ﻣﻨﺒﻊ ﺍﻧﺒﺴـﺎﻁ ﻭﺍﻗﻊ ﺷـﺪﻩﺍﻧﺪ، ﺍﻫﻤﯿﺖ ﭘﯿﺪﺍ ﻣﯽ ﮐﻨﺪ.
ﺗﻘﺮﯾﺒﺎً ﺩﺭ ﺗﻤﺎﻣﯽ ﮐﺎﺭﺑﺮﺩﻫﺎﯼ ﺩﯾﮕﺮ، ﺣﺪﺍﻗﻞ ﻓﺸـﺎﺭﯼ ﮐﻪ ﺍﺯ ﺑﺨﺶ A ﺩﺭ ﻣﮑﺶ ﭘﻤﭗ ﻧﺘﯿﺠﻪ ﺧﻮﺍﻫﺪ ﺷـﺪ ، ﺑﻪ ﻃﻮﺭ ﻣﻄﻤﺌﻦ ﺑﺎﻻﺗﺮ ﺍﺯ ﻓﺸﺎﺭ ﻣﻮﺭﺩ ﻧﯿﺎﺯ NPSHr ﻣﯽﺑﺎﺷـﺪ. ﺍﺯ ﺍﯾﻦ ﺭﻭ، ﺑﺮﺍﯼ ﺑﯿﺸﺘﺮ ﮐﺎﺭﺑﺮﺩﻫﺎﯼ ﺗﻬﻮﯾﻪ ﻣﻄﺒﻮﻉ HVAC، ﻣﺤﺎﺳﺒﺎﺕ ﺑﺨﺶ B ﻣﻤﮑﻦ ﺍﺳﺖ ﺣﺬﻑ ﺷﻮﺩ.
ﺍﯾﻦ ﻗﺴـﻤﺖ ﺑﺮﺍﯼ ﺗﮑﻤﯿـﻞ ﻓﺮﺁﯾﻨﺪ ﻣﺤﺎﺳـﺒﺎﺕ ﺩﺭ ﺍﯾﻨﺠﺎ ﺁﻭﺭﺩﻩ ﺷـﺪﻩ ﺍﺳﺖ.
ﻓﺸـﺎﺭ ﭘﯿﺶ ﺷﺎﺭﮊ (ﻓﺸـﺎﺭ ﺍﻭﻟﯿﻪ) ﻣﻮﺭﺩ ﻧﯿﺎﺯ ﺑﻪ ﻣﻨﻈﻮﺭ ﺗﺄﻣﯿﻦ NPSHr ﺑﻪ ﺻﻮﺭﺕ ﺯﯾﺮ ﺗﻌﯿﯿﻦ ﻣﯽﺷﻮﺩ:
1. ﭘﯿﺪﺍ ﮐـﺮﺩﻥ NPSHr ﺍﺯ ﻧﺮﻡﺍﻓﺰﺍﺭ ﯾﺎ ﻣﻨﺤﻨﯽ ﺍﻧﺘﺨﺎﺏ ﭘﻤﭗ، ﮐﻪ ﺗﻮﺳـﻂ ﮐﺎﺭﺧﺎﻧﻪ ﺳﺎﺯﻧﺪﻩ ﺍﺭﺍﺋﻪ ﻣﯽ ﺷﻮﺩ.
2. ﻣﺤﺎﺳﺒﻪ ﺍﻓﺖ ﻓﺸﺎﺭ ﺍﺻﻄﮑﺎﮐﯽ Pf, tank →suction اﺯ ﻣﻨﺒﻊ ﺗﺎ ﻣﮑﺶ ﭘﻤﭗ ﺩﺭ ﺟﻬﺖ ﺟﺮﯾﺎﻥ ﺳﯿﺎﻝ.
3.ﺗﻌﯿﯿﻦ ﻓﺸـﺎﺭ ﺑﺨﺎﺭ ﺍﺷﺒﺎﻉ ﺳـﯿﺎﻝ Pυ (ﺑﻪ ﺻﻮﺭﺕ ﻧﺴـﺒﯽ) ، ﺩﺭ ﺣﺪﺍﮐﺜﺮ ﺩﻣﺎﯼ ﻣﻮﺭﺩ ﻧﻈﺮ ﺩﺭ ﺳﯿﺴﺘﻢ. ﺩﺭ ﻗﺴﻤﺖ ﺑﻌﺪﯼ ﭼﮕﻮﻧﮕﯽ ﺗﻌﯿﯿﻦ ﺩﻣﺎﯼ ﺳـﯿﺎﻝ ﺑﺤﺚ ﺧﻮﺍﻫﺪ ﺷﺪ.
ﺷـﮑﻞ (2)، ﻣﻨﺤﻨﯽ Pυﺑﺮ ﺣﺴـﺐ psig ﺭﺍ ﮐﻪ ﻧﺴـﺒﺖ ﺑﻪ ﺩﻣﺎ ﺗﺮﺳﯿﻢ ﺷﺪﻩ ﺍﺳـﺖ ﺭﺍ ﺑﺒﯿﻨﯿﺪ. (ﻓﺸﺎﺭ ﺑﺨﺎﺭ ﺍﺷﺒﺎﻉ Pυﻣﻌﻤﻮﻻً ﺑﺮﺍﺳـﺎﺱ ﻓﺸﺎﺭ ﻣﻄﻠﻖ ﺩﺭ ﺩﺳﺘﺮﺱ ﻣﯽﺑﺎﺷـﺪ، ﺍﻣّﺎ ﺩﺭﺍﯾﻨﺠﺎ ﻣﺎ ﺑﻪ ﻣﻨﻈﻮﺭ ﻣﺤﺎﺳﺒﺔ Pi ﮐﻪ ﺑﺮ ﺣﺴﺐ ﻓﺸﺎﺭ ﻧﺴﺒﯽ ﺍﺳﺖ، ﺑﻪ ﺑﺨﺶ ﻓﺸﺎﺭ ﻧﺴﺒﯽ ﺑﺨﺎﺭ ﺍﺷﺒﺎﻉ ﻧﯿﺎﺯ ﺩﺍﺭﯾﻢ(
.4ﻣﺤﺎﺳـﺒﺔ ﺍﺧﺘﻼﻑ ﻓﺸـﺎﺭ ﺍﺳـﺘﺎﺗﯿﮑﯽ Pf, tank →suction اﺯ ﻣﻨﺒﻊ ﺗﺎ ﻣﮑﺶ ﭘﻤﭗ. ﺍﯾﻦ ﻣﺤﺎﺳـﺒﻪ ﺑﻪ ﺭﺍﺣﺘﯽ ﺍﺯ ﻃﺮﯾﻖ ﺍﺧﺘﻼﻑ ﺗﺮﺍﺯ ﺍﺭﺗﻔﺎﻋﯽ ﺑﯿﻦ ﺍﯾﻦ ﺩﻭ ﻧﻘﻄﻪ ﺍﻧﺠﺎﻡ ﻣﯽﺷﻮﺩ (ﺑﺮﺍﯼ ﻓﺸﺎﺭ ﻭﺍﺣﺪ ﺍﻧﺪﺍﺯﻩﮔﯿﺮﯼ ﻓﻮﺕ ﺁﺏ ﻣﯽﺑﺎﺷﺪ(
.5ﻣﺤﺎﺳﺒﺔ ﺍﺧﺘﻼﻑ ﻓﺸﺎﺭ ﺳﺮﻋﺘﯽ Pf,tank →suction دﺭ ﺳﯿﺴﺘﻢ ﻟﻮﻟﻪ ﮐﺸـﯽ ﺩﺭ ﻧﻘﻄﻪﺍﯼ ﮐﻪ ﻣﻨﺒﻊ ﺑﻪ ﻣﮑﺶ ﭘﻤﭗ ﻭﺻﻞ ﺷـﺪﻩ ﺍﺳﺖ.
ﻣﺤﺎﺳـﺒﻪ ﺣﺪﺍﻗﻞ ﻓﺸـﺎﺭ منبع انبساط
فشار ﺍﻭﻟﯿﻪ ﯾﺎ ﺷـﺎﺭﮊ ﺍﻭﻟﯿﻪ Piﺑﻪ (ﺻﻮﺭﺕ ﻧﺴﺒﯽ) ﺑﻪ ﺳـﺮﻋﺘﯽ ﺑﺎ ﻣﺮﺑﻊ (ﺗﻮﺍﻥ ﺩﻭﻡ) ﺳـﺮﻋﺖ ﺳـﯿﺎﻝ ﺩﺭ ﻟﻮﻟﻪﻫﺎ ﺗﻨﺎﺳﺐ ﺩﺍﺭﺩ ( ﮐﻪ ﺑﺮﺍﺑﺮ ﺍﺳـﺖ ﺑﺎ ﺑﺮ ﺣﺴـﺐ psi ﮐﻪ ﺩﺭ ﺁﻥ V ﺳـﺮﻋﺖ ﻭ ﺑﺮ ﺣﺴﺐ ft/s ﻣﯽﺑﺎﺷـﺪ). ﻣﻌﻤﻮﻻً ﺍﯾﻦ ﻓﺎﮐﺘﻮﺭ (ﻓﺸﺎﺭ ﺳـﺮﻋﺘﯽ) ﻧﺎﭼﯿﺰ ﺑﻮﺩﻩ ﻭ ﻋﻤﺪﺗﺎً ﻧﺎﺩﯾﺪﻩ ﮔﺮﻓﺘﻪ ﻣﯽﺷـﻮﻧﺪ. ﺑﻪ ﻭﯾﮋﻩ ﺯﻣﺎﻧﯽ ﮐﻪ ﺳﺎﯾﺰ ﻟﻮﻟﻪ ﺩﺭ ﻧﻘﻄﺔ ﺍﺗﺼﺎﻝ ﻣﻨﺒﻊ ﺍﻧﺒﺴـﺎﻁ ﺑﻪ ﺳـﺎﯾﺰ ﻟﻮﻟـﻪ ﻣﮑﺶ ﭘﻤـﭗ ﻧﺰﺩﯾﮏ ﺑﺎﺷـﺪ، ﮐﻪ ﺑﺎﻋﺚ ﻣﯽﺷﻮﺩ ﻓﺸﺎﺭﻫﺎﯼ ﺳﺮﻋﺘﯽ ﺗﻘﺮﯾﺒﺎً ﺑﺎ ﻫﻢ ﺑﺮﺍﺑﺮ ﺑﺎﺷﻨﺪ.(مفاهیم منبع انبساط)
محاسبه ﺣﺪﺍﻗﻞ ﻓﺸـﺎﺭ ﺍﻭﻟﯿﻪ یا ﺷـﺎﺭﮊﺍﻭﻟﯿﻪ Pi (ﺑﻪﺻﻮﺭﺕ ﻧﺴﺒﯽ) ﺑﻪ ﺻﻮﺭﺕ ﺯﯾﺮ ﻣﺤﺎﺳﺒﻪ ﻣﯽﺷﻮﺩ:
(2)

پیشنهاد مطالعه : منبع انبساط موتورخانه
ﻓﺸﺎر ﺣﺪاﻛﺜﺮ منبع انبساط
ﺣﺪﺍﮐﺜﺮ ﻓﺸﺎﺭ ﻣﻨﺒﻊ ﺍﻧﺒﺴﺎﻁ Pmax ﺑﻪ ﺻﻮﺭﺕ ﺯﯾﺮ ﺗﻌﯿﯿﻦ ﻣﯽﺷﻮﺩ:
-1 ﺗﻌﯿﯿﻦ ﺣﺪﺍﮐﺜﺮ ﻓﺸـﺎﺭ ﻣﺠﺎﺯ ﺳﯿﺴﺘﻢ Pmaxﻭ ﻧﻘﻄﺔ ﻓﺸﺎﺭ ﺑﺤﺮﺍﻧﯽ CPP
CPP ﺿﻌﯿﻒﺗﺮﯾﻦ ﻗﺴـﻤﺖ ﺍﺗﺼﺎﻟﯽ ﺳﯿﺴـﺘﻢ ﺍﺯ ﻧﻈﺮ ﺭﺩﻩﺑﻨﺪﯼ ﻓﺸﺎﺭ ﺗﺠﻬﯿﺰﺍﺕ ﺍﺳﺖ. ﺣﺪﺍﮐﺜﺮ ﻓﺸـﺎﺭ ﻣﺠﺎﺯ، ﺗﺎﺑﻌﯽ ﺍﺯ ﺭﺩه ﻓﺸﺎﺭ ﺗﺠﻬﯿﺰﺍﺕ ﻭ ﺍﺟﺰﺍ ﺳﯿﺴـﺘﻢ ﺩﺭ ﺣﺪﺍﮐﺜﺮ ﺩﻣﺎﯼ ﻋﻤﻠﯿﺎﺗﯽ ﻣـﻮﺭﺩ ﺍﻧﺘﻈﺎﺭ (ﮐﻪ ﺍﺯ ﻃﺮﻑ ﺗﻮﻟﯿﺪ ﮐﻨﻨﺪﻩﻫﺎ ﺍﺭﺍﺋﻪ ﻣﯽﮔﺮﺩﺩ) ﻭ ﻣﻮﻗﻌﯿﺖ ﻗﺮﺍﺭﮔﯿﺮﯼ ﺍﯾﻦ ﺗﺠﻬﯿﺰﺍﺕ ﺩﺭ ﺳﯿﺴﺘﻢ ﻧﺴﺒﺖ ﺑﻪ ﺍﺭﺗﻔﺎﻉ ﻭ ﻧﺴﺒﺖ ﺑﻪ ﭘﻤﭗ ﻣﯽﺑﺎﺷﺪ.
ﺑﻪ ﻣﻨﻈﻮﺭ ﭘﯿﺪﺍ ﮐﺮﺩﻥ CPP، ﻓﻬﺮﺳـﺘﯽ ﺍﺯ ﺍﺟﺰﺍﺀ ﻭ ﺗﺠﻬﯿﺰﺍﺕ ﺭﺍ ﻫﻤﺮﺍﻩ ﺑﺎ ﺭﺩﻩﺑﻨﺪﯼ ﻓﺸـﺎﺭ ﺣﺪﺍﻗﻠﯽ ﺁﻥ ﻫﺎ ﺗﻬﯿﻪ ﮐﻨﯿﺪ (ﺍﻏﻠﺐ ﺩﯾﮓ ﻫﺎ ﻭ ﻣﻨﺎﺑﻊ ﺗﺤﺖ ﻓﺸـﺎﺭ ﺩﯾﮕﺮ)، ﺳـﭙﺲ ﺍﺧﺘﻼﻑ ﺑﯿـﻦ ﺭﺩﻩﺑﻨـﺪﯼ ﺁﻥ ﻫﺎ ﻭ ﺍﺭﺗﻔـﺎﻉ ﻋﻤﻮﺩﯼ (ﺍﺧﺘـﻼﻑ ﺍﺳـﺘﺎﺗﯿﮑﯽ) ﺁﻥ ﻫﺎ ﺩﺭ ﻭﺍﺣﺪﻫﺎﯼ ﺍﺻﻮﻟﯽ ﻣﺤﺎﺳـﺒﻪ ﺷـﻮﺩ. (ﺑﻪ ﻋﻨﻮﺍﻥ ﻣﺜـﺎﻝ: ﺗﺒﺪﯾﻞ ﺭﺩﻩﺑﻨﺪﯼ ﻓﺸـﺎﺭ ﺑﺮ ﺍﺳـﺎﺱ psig ﺑـﻪ ﻭﺍﺣﺪﻫﺎﯼ ﻫﺪ (ﻓﻮﺕ ﺁﺏ) ﻭ ﮐﻢ ﮐﺮﺩﻥ ﻣﺆﻟﻔﻪ ﺍﺭﺗﻔﺎﻉ ﺗﺠﻬﯿﺰﺍﺕ).
ﺩﺭ ﺍﯾﻦ ﻓﻬﺮﺳـﺖ، ﺍﺟﺰﺍﯾـﯽ ﺍﺯ ﺳﯿﺴـﺘﻢ ﮐـﻪ ﺩﺍﺭﺍﯼ ﮐﻤﺘﺮﯾﻦ ﺍﺧﺘﻼﻑ ﻫﺴﺘﻨﺪ ”ﺿﻌﯿﻒﺗﺮﯾﻦ ﻗﺴﻤﺖ ﺍﺗﺼﺎﻟﯽ“ ﺳﯿﺴﺘﻢ ﻣﯽﺑﺎﺷﻨﺪ. ﺍﯾﻦ ﻣﻮﻗﻌﯿﺖ ﺍﺯ CPP ﺩﺭ ﻗﺴـﻤﺖ ﺩﻫﺶ ﭘﻤﭗ ﺑﻮﺩﻩ ﻭ ﺣﺪﺍﮐﺜﺮ ﻓﺸـﺎﺭ Pmax، ﻓﺸﺎﺭ ﺭﺩﻩ ﺑﻨﺪﯼ ﺗﺠﻬﯿﺰﺍﺕ ﻣﯽﺑﺎﺷﺪ.
-2 ﻣﻮﻗﻌﯿﺖ ﺷـﯿﺮ ﺗﺨﻠﯿﻪ ﻓﺸﺎﺭ. ﺷﯿﺮ ﺗﺨﻠﯿﻪ ﻓﺸـﺎﺭ ﺑﻪ ﻣﻨﻈﻮﺭ ﺣﻔﺎﻇﺖ ﺩﺭ ﺳﯿﺴـﺘﻢ ﻗﺮﺍﺭ ﮔﺮﻓﺘﻪ ﻭ ﻣﻌﻤﻮﻻً ﺑﻬﺘﺮﯾﻦ ﻣﺤﻞ ﻧﺼﺐ ﺩﺭ ﻧﺰﺩﯾﮑﯽ ﻧﻘﻄﺔ CPP ﻣﯽﺑﺎﺷﺪ ﺍﻣّﺎ ﯾﮏ ﻣﻮﻗﻌﯿﺖ ﺭﺍﯾﺞ، ﻧﺼﺐ ﺩﺭ ﻧﺰﺩﯾﮑﯽ ﻣﺤﻞ ﺍﺗﺼﺎﻝ ﻣﻨﺒﻊ ﺍﻧﺒﺴﺎﻁ ﺑﻪ ﺳﯿﺴﺘﻢ، ﺟﺎﺋﯿﮑﻪ ﺷﯿﺮ ﻗﻄﻊﮐﻨﻨﺪه ﺍﺭﺗﺒﺎﻁ ﻣﻨﺒﻊ ﺍﻧﺒﺴﺎﻁ ﺍﺯ ﺳﯿﺴﺘﻢ ﻗﺮﺍﺭ ﮔﺮﻓﺘﻪ ﺍﺳﺖ ﻣﯽﺑﺎﺷﺪ، ﺷﯿﺮ ﺗﺨﻠﯿﻪ ﺩﺭ ﺍﯾﻦ ﻣﻮﻗﻌﯿﺖ ﺑﺎﯾﺪ ﺩﺭ ﺳـﻤﺖ ﺳﯿﺴـﺘﻢ ﻧﺼﺐ ﺷـﻮﺩ (ﺩﺭ ﺣﺪ ﻓﺎﺻﻞ ﺳﯿﺴـﺘﻢ ﺗﺎ ﺷﯿﺮ ﻗﻄﻊ ﺍﺭﺗﺒﺎﻁ(.
3- ﻣﺤﺎﺳـﺒﺔ ﺍﺧﺘﻼﻑ ﻓﺸﺎﺭ ﺍﺳـﺘﺎﺗﯿﮑﯽ Ps,CPP →PRV ﺍﺯ ﻧﻘﻄﺔ CPP ﺗﺎ ﻧﻘﻄﺔ ﺍﺗﺼﺎﻝ ﺷـﯿﺮ ﺗﺨﻠﯿﺔ ﻓﺸﺎﺭ. ﺍﯾﻦ ﻣﺤﺎﺳـﺒﻪ ﺑﻪ ﺳﺎﺩﮔﯽ ﺍﺯ ﻃﺮﯾﻖ ﺍﺧﺘﻼﻑ ﺗﺮﺍﺯ ﺍﺭﺗﻔﺎﻋﯽ ﺑﯿﻦ ﺍﯾﻦ ﺩﻭ ﻧﻘﻄﻪ ﺍﻧﺠﺎﻡ ﻣﯽ ﺷﻮﺩ (ﺑﺮﺍﯼ ﻓﺸﺎﺭ ﺑﺮ ﺍﺳﺎﺱ ﻭﺍﺣﺪ ﻓﻮﺕ ﺁﺏ). ﺍﯾﻦ ﻓﺸﺎﺭ ﻣﻤﮑﻦ ﺍﺳﺖ (ﺩﺭﺻﻮﺭﺗﯽ ﮐﻪ CPP ﺑﺎﻻﺗﺮ ﺍﺯ (PRV ﻣﺜﺒﺖ ﻭ ﯾﺎ (ﺩﺭ ﺻﻮﺭﺗﯽ ﮐﻪ CPP ﭘﺎﯾﯿﻦﺗﺮ ﺍﺯ (PRV ﻣﻨﻔﯽ ﺑﺎﺷﺪ.
-4 ﺩﺭ ﺻﻮﺭﺗﯽ ﮐﻪ ﺷﯿﺮ ﺗﺨﻠﯿﻪ ﺩﺭ ﭘﺎﯾﯿﻦ ﺩﺳﺖ ﻧﻘﻄﺔ CPP ﺑﺎﺷﺪ، ﺍﻓﺖ ﻓﺸﺎﺭ ﺍﺻﻄﮑﺎﮐـﯽ Pf, CPP →PRV اﺯ ﻧﻘﻄﻪ CPP ﺗﺎ ﺷـﯿﺮ ﺗﺨﻠﯿﻪ ﻫﻨﮕﺎﻣﯽ ﮐﻪ ﭘﻤﭗ ﺭﻭﺷـﻦ ﺍﺳﺖ ﻣﺤﺎﺳﺒﻪ ﺷـﻮﺩ. (ﺍﯾﻦ ﻣﻮﺿﻮﻉ، ﺩﺭ ﺻﻮﺭﺗﯽ ﮐﻪ ﺷـﯿﺮ ﺗﺨﻠﯿﻪ ﺩﺭ ﺑﺎﻻﺩﺳﺖ ﻧﻘﻄﺔ CPP ﻭﺍﻗﻊ ﺷﺪﻩ ﺑﺎﺷﺪ، ﻗﺎﺑﻞ ﺻﺮﻓﻨﻈﺮ ﺍﺳـﺖ. ﺯﯾﺮﺍ ﺣﺪﺍﮐﺜﺮ ﻓﺸـﺎﺭ ﺣﺘﯽ ﺯﻣﺎﻧﯽ ﮐﻪ ﭘﻤﭗ ﺧﺎﻣﻮﺵ ﺍﺳﺖ ﺣﻔﻆ ﺧﻮﺍﻫﺪ ﺷﺪ.
-5 ﻣﺤﺎﺳـﺒﺔ ﻧﻘﻄﺔ ﺗﻨﻈﯿﻢ ﻓﺸﺎﺭ ﺩﺭ ﺷﯿﺮ ﺗﺨﻠﯿﻪ Prv ﺑﻪ ﺻﻮﺭﺕ ﺯﯾﺮ ﺧﻮﺍﻫﺪ ﺑﻮﺩ:
(3)

ﺑﺮﺍﯼ ﺑﯿﺸـﺘﺮ ﺳﯿﺴـﺘﻢﻫﺎﯼ ﻣﻮﺟﻮﺩ ﺩﺭ ﺳـﺎﺧﺘﻤﺎﻥ ﻫـﺎﯼ ﯾﮏ ﻃﺒﻘﻪ ﺑﻪ ﻣﻨﻈـﻮﺭ ﺗﻨﻈﯿﻢ ﻧﻘﻄـﺔ ﻋﻤﻠﮑﺮﺩ ﺷـﯿﺮ ﺗﺨﻠﯿﻪ ﻣﻌﻤـﻮﻻً ﺍﺯ ﻓﺸـﺎر (207kPa)، 30psig ﺍﺳﺘﻔﺎﺩﻩ ﻣﯽﺷﻮﺩ، ﺣﺘﯽ ﺯﻣﺎﻧﯽ ﮐﻪ ﻧﺘﺎﯾﺞ ﻣﺤﺎﺳﺒﺎﺕ ﺑﺎﻻ، ﻣﻘﺪﺍﺭ ﺑﺰﺭﮔﺘﺮﯼ ﺭﺍ ﺑﺪﺳـﺖ ﺩﻫﺪ. ﺍﯾﻦ ﻓﺸـﺎﺭ 30 psig ﺭﺩﻩ ﻓﺸـﺎﺭﯼ ﺍﺳـﺘﺎﻧﺪﺍﺭﺩ ﺑﺴـﯿﺎﺭﯼ ﺍﺯ ﺩﯾﮓﻫﺎﯼ ﮐﻢ ﻓﺸـﺎﺭ ﻣﯽﺑﺎﺷـﺪ، ﺩﺭ ﺣﺎﻟﯽ ﮐﻪ ﺑﯿﺸﺘﺮ ﺩﯾﮓﻫﺎ ﺑﺎ ﺭﺩﻩﺑﻨﺪﯼ ﻓﺸﺎﺭ ﺑﯿﺸـﺘﺮ ( 414 kPa [ 60psig ] ) ﺑﺎ ﻫﺰﯾﻨﻪ ﮐﻢ ﯾﺎ ﺑﺪﻭﻥ ﺍﻓﺰﺍﯾﺶ ﻫﺰﯾﻨﻪ ﻧﺴﺒﺖ ﺑﻪ ﻓﺸﺎﺭﻫﺎﯼ ﭘﺎﯾﯿﻦﺗﺮ ﺩﺭ ﺩﺳﺘﺮﺱ ﻫﺴﺘﻨﺪ.
6-ﻣﺤﺎﺳـﺒﻪ ﺍﺧﺘﻼﻑ ﻓﺸﺎﺭ ﺍﺳـﺘﺎﺗﯿﮑﯽ PS.PRV →tank اﺯ ﻧﻘﻄﻪ ﺍﺗﺼﺎﻝ ﺷـﯿﺮ ﺗﺨﻠﯿﻪ ﻓﺸﺎﺭ ﺗﺎ ﻣﻨﺒﻊ ﺍﻧﺒﺴﺎﻁ. ﺍﯾﻦ ﻣﺤﺎﺳـﺒﻪ ﺑﻪ ﺳﺎﺩﮔﯽ ﺍﺯ ﻃﺮﯾﻖ ﺍﺧﺘﻼﻑ ﺗﺮﺍﺯ ﺍﺭﺗﻔﺎﻋﯽ ﺑﯿﻦ ﺍﯾﻦ ﺩﻭ ﻧﻘﻄﻪ ﺍﻧﺠﺎﻡ ﻣﯽﺷـﻮﺩ (ﺑﺮﺍﯼ ﻓﺸﺎﺭ ﺍﺯ ﻭﺍﺣـﺪ ﻓﻮﺕ ﺁﺏ ﺍﺳـﺘﻔﺎﺩﻩ ﻣﯽﺷـﻮﺩ). ﮐﻪ ﺍﯾﻦ ﻓﺸـﺎﺭ ﻣﻤﮑﻦ ﺍﺳـﺖ (ﺩﺭﺻﻮﺭﺗﯽ ﮐﻪ PRV ﺑﺎﻻﺗﺮ ﺍﺯ ﻣﻨﺒﻊ ﺑﺎﺷـﺪ) ﻣﺜﺒـﺖ ﻭ ﯾﺎ (ﺩﺭ ﺻﻮﺭﺗﯽ ﮐﻪ PRV ﭘﺎﯾﯿﻦﺗﺮ ﺍﺯ ﻣﻨﺒﻊ ﺑﺎﺷﺪ) ﻣﻨﻔﯽ ﺑﺎﺷﺪ.
7-ﺩﺭ ﺻﻮﺭﺗﯽ ﮐﻪ ﻣﻨﺒﻊ ﺩﺭ ﭘﺎﯾﯿﻦ ﺩﺳـﺖ ﺷﯿﺮ ﺗﺨﻠﯿﻪ ﻭﺍﻗﻊ ﺷﻮﺩ، ﺯﻣﺎﻧﯽ ﮐﻪ ﭘﻤﭗ ﺭﻭﺷـﻦ ﺍﺳﺖ، ﺍﻓﺖ ﻓﺸـﺎﺭ ﺍﺻﻄﮑﺎﮐﯽ ﺑﯿﻦ ﺷـﯿﺮ ﺗﺨﻠﯿﻪ ﺗﺎ ﻣﻨﺒﻊ ﺍﻧﺒﺴﺎﻁ Pf,PRV→tank ﺭﺍ ﻣﺤﺎﺳﺒﻪ ﮐﻨﯿﺪ.
8-ﻣﺤﺎﺳـﺒﺔ ﺣﺪﺍﮐﺜﺮ ﻓﺸـﺎﺭ ﻣﻨﺒـﻊ Pmax (ﺑﻪ ﺻﻮﺭﺕ ﻓﺸـﺎﺭ ﻧﺴـﺒﯽ) ﺑﻪ ﻛﺎﻧﺎل ﺻﻮﺭﺕ ﺯﯾﺮ ﺍﺳﺖ:

انتخاب منبع انبساط
ﻣﻌﻤـﻮﻻً ﻣﻨﺎﺑﻊ ﺍﻧﺒﺴـﺎﻁ ﺑـﺎ ﺍﺳـﺘﻔﺎﺩﻩ ﺍﺯ ﻧﺮﻡﺍﻓﺰﺍﺭﻫﺎ ﻭ ﯾـﺎ ﻧﻤﻮﺩﺍﺭﻫﺎﯼ انتخاب تولید کنندگان ، بر اساس اطلاعات زیر انتخاب می شوند:
ﺣﺪﺍﻗﻞ ﺩﻣﺎﯼ ﺳﯿﺴـﺘﻢ ﮐﻪ ﺑﻪ ﺻﻮﺭﺕ TC ﻧﺸﺎﻥ ﺩﺍﺩﻩ ﻣﯽﺷﻮﺩ. ﺑﺮﺍﯼ ﺳﯿﺴـﺘﻢﻫﺎﯼ ﮔﺮﻣﺎﯾﺶ، ﺍﯾﻦ ﺩﻣﺎ ﻣﻌﻤﻮﻻً ﺩﻣﺎﯼ ﭘﺮﮐـﻦ ﺍﻭﻟﯿﻪ ﺧﻮﺍﻫﺪ ﺑﻮﺩ، ﻣﺜﻼً .50° F 10° C ﺑﺮﺍﯼ ﺳﯿﺴـﺘﻢﻫﺎﯼ ﺳـﺮﻣﺎﯾﺶ، ﺍﯾﻦ ﺩﻣﺎ، ﺩﻣﺎﯼ ﻃﺮﺍﺣﯽ ﺁﺑﺴﺮﺩ ﺧﻮﺍﻫﺪ ﺑﻮﺩ، ﻣﺜﻼً . 40°F ( (4°C
ﺣﺪﺍﮐﺜﺮ ﺩﻣﺎﯼ ﺳﯿﺴـﺘﻢ ﮐﻪ ﺑﻪ ﺻﻮﺭﺕ Th ﻧﺸـﺎﻥ ﺩﺍﺩﻩ ﻣﯽﺷﻮﺩ ﺑﺮﺍﯼ ﺳﯿﺴـﺘﻢﻫﺎﯼ ﮔﺮﻣﺎﯾﺶ، ﺍﯾﻦ ﺩﻣﺎ، ﺩﻣﺎﯼ ﻃﺮﺍﺣﯽ ﺁﺑﮕﺮﻡ ﺧﻮﺍﻫﺪ ﺑﻮﺩ، ﻣﺜﻼ .180°F(82°C) ﺑﺮﺍﯼ ﺳﯿﺴﺘﻢﻫﺎﯼ ﺳﺮﻣﺎﯾﺶ ، ﺍﯾﻦ ﺩﻣﺎ ﻣﻌﻤﻮﻻً ﻫﻨﮕﺎﻣﯽﮐﻪﺳﯿﺴﺘﻢﺧﺎﻣﻮﺵﺍﺳﺖﻣﻤﮑﻦﺍﺳﺖ ﺗﺎ ﺩﻣﺎﯼ80° F (27° C) اﻓﺰﺍﯾﺶ ﭘﯿﺪﺍ ﮐﻨﺪ ﯾﺎ ﺑﺴﺘﻪ ﺑﻪ ﻣﻮﻗﻌﯿﺖ ﻟﻮﻟﻪﮐﺸﯽ ( ﺍﯾﻦ ﮐﻪ ﻟﻮﻟﻪﮐﺸﯽ ﺩﺭ ﺩﺍﺧﻞ ﯾﺎ ﺧﺎﺭﺝ ﺳﺎﺧﺘﻤﺎﻥ ﻭﺍﻗﻊ ﺷﺪﻩﺍﺳﺖ). ﻣﺘﻔﺎﻭﺕ ﺍﺳﺖ.
- ﺣﺠﻢ ﺁﺏ ﮐﻞ ﺳﯿﺴـﺘﻢ، VS، ﺷﺎﻣﻞ ﻫﻤﻪ ﻟﻮﻟﻪﮐﺸﯽﻫﺎ ﻭ ﺗﺠﻬﯿﺰﺍﺕ ﻭ ﺍﺗﺼﺎﻻﺕ.
- ﻓﺸـﺎﺭ ﺷﺎﺭﮊ ﺍﻭﻟﯿﻪ Pi (P1) ﻭ ﻓﺸـﺎﺭ ﺣﺪﺍﮐﺜﺮ Pmax (P2) ﮐﻪ ﻗﺒﻼً ﺗﻌﯿﯿﻦ ﺷﺪ.
ﺣﺠﻢ ﻣﻨﺒﻊ ﻫﻤﭽﻨﯿﻦ ﻣﻤﮑﻦ ﺍﺳﺖ ﺍﺯ ﻣﻌﺎﺩﻻﺕ ﭘﺎﯾﻪ ﻣﺜﻼً ﻣﻌﺎﺩﻻﺕ 5 ﻭ 6 ﺗﻌﯿﯿﻦ ﺷـﻮﺩ. ﮐﻪ ﺍﯾﻦ ﺩﺭ ﻣﻨﺎﺑﻊ ﺍﻧﺒﺴﺎﻁ ﻧﻮﻉ ﺩﯾﺎﻓﺮﺍﮔﻤﯽ/ ﻏﺸﺎﯾﯽ ﮐﺎﺭﺑﺮﺩ ﺩﺍﺭﺩ:
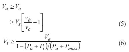
ﻇﺮﻓﯿﺖ ﻏﺸﺎﯾﺎ (ﺑﺮﺍﯼ ﻣﻨﺎﺑﻊ ﺩﯾﺎﻓﺮﺍﮔﻤﯽ) ﺣﺠﻢ ﻗﺴﻤﺖ ﺁﺑﯽ ﻣﻨﺒﻊ ﻫﻨﮕﺎﻣﯽ ﮐﻪ ﺩﯾﺎﻓﺮﺍﮔﻢ ﮐﺎﻣﻼً ﻣﻨﺒﺴـﻂ (ﺑﺎﺯ) ﻣﯽﺷـﻮﺩ، ﺍﺳـﺖ. ﻣﻨﺎﺑﻌﯽ ﮐﻪ ﺍﺻﻄﻼﺣﺎ ”ﭘﺬﯾﺮﺵِ ﮐﺎﻣﻞ“ ﻧﺎﻡ ﺩﺍﺭﻧﺪ، ﻏﺸـﺎﯼ ﺁﻥ ﻫﺎ ﻣﯽﺗﻮﺍﻧﺪ ﺑﻪ ﺍﻧﺪﺍﺯﺓ ﮐﻞ ﻫﻨﺪﺳـﺔ ﻣﻨﺒﻊ ﺑﺎﺯ ﺷـﻮﺩ، ﺑﻨﺎﺑﺮﺍﯾﻦ ﺣﺠﻢ ﭘﺬﯾﺮﺵ ﻣﻨﺎﺑـﻊ ﻭ ﮐﻞ ﺣﺠﻢ ﻣﻨﺒﻊ Vt، ﺑﺎ ﻫﻢ ﺑﺮﺍﺑﺮﻧﺪ.
- =Ve ﺍﻓﺰﺍﯾﺶ ﺣﺠﻢ ﺁﺏ ﻣﻨﺒﺴﻂ ﺷﺪﻩ ﺍﺯ ﺣﺪﺍﻗﻞ ﺩﻣﺎ ﺗﺎ ﺣﺪﺍﮐﺜﺮ ﺩﻣﺎ
- =υC ﺣﺠﻢ ﻣﺨﺼﻮﺹ ﺁﺏ ﺩﺭ ﺣﺪﺍﻗﻞ ﺩﻣﺎ، .TC
- =υh ﺣﺠﻢ ﻣﺨﺼﻮﺹ ﺁﺏ ﺩﺭ ﺣﺪﺍﮐﺜﺮ ﺩﻣﺎ، .Th
ﻣﻌﺎﺩﻟﻪ 5 ﺗﻀﻤﯿﻦ ﻣﯽﮐﻨﺪ ﮐﻪ ﺑﻪ ﻣﻨﻈﻮﺭ ﺟﻠﻮﮔﯿﺮﯼ ﺍﺯ ﺁﺳـﯿﺐ ﺭﺳـﯿﺪﻥ ﺑﻪ ﻏﺸﺎ ﯾﺎ ﺩﯾﺎﻓﺮﺍﮔﻢ ﻫﻨﮕﺎﻣﯽ ﮐﻪ ﺳﯿﺴﺘﻢ ﺩﺭ ﺑﺎﻻﺗﺮﯾﻦ ﺩﻣﺎ ﻭ ﻓﺸﺎﺭ ﻗﺮﺍﺭ ﺩﺍﺭﺩ؛ ﺣﺠﻢ ﭘﺬﯾﺮﺵ Va ﺑﯿﺸﺘﺮ ﺍﺯ ﺣﺠﻢ ﺁﺏ ﻣﻨﺒﺴﻂ ﺷﺪﻩ ﺳﯿﺴﺘﻢ Ve ﻣﯽﺑﺎﺷﺪ.
ﻣﻌﺎﺩﻟﻪ 6 ﺗﻀﻤﯿﻦ ﻣﯽﮐﻨﺪ ﮐﻪ ﺣﺠﻢ ﻣﺨﺰﻥ Vt ﺑﺮﺍﯼ ﻫﺮ ﺩﻭ ﻗﺴـﻤﺖ ﺁﺏ ﻣﻨﺒﺴﻂ ﺷﺪﻩ Ve ﻭ ﺑﺎﻟﺸﺘﮏ ﻫﻮﺍﯼ ﻻﺯﻡ ﺑﻪ ﻣﻨﻈﻮﺭ ﺣﻔﻆ ﻓﺸﺎﺭﻫﺎﯼ ﻣﻨﺒﻊ ﺑﯿﻦ ﻓﺸﺎﺭ ﺣﺪﺍﻗﻞ Pi ﻭ ﻓﺸﺎﺭ ﺣﺪﺍﮐﺜﺮ Pmax ﮐﺎﻓﯽ ﻣﯽﺑﺎﺷﺪ.
ﻣﻌﺎﺩﻟﺔ 6 ﺍﺯ ( مفاهیم منبع انبساط) ﻣﺤﺎﺳﺒﻪ ﺍﻧﺒﺴﺎﻁ ﺍﯾﺠﺎﺩ ﺷﺪﻩ ﺩﺭ ﺳﯿﺴﺘﻢ ﻟﻮﻟﻪﮐﺸﯽ ﺻﺮﻑ ﻧﻈﺮ ﻣﯽﮐﻨﺪ، ﺯﯾﺮﺍ ﻧﺘﺎﯾﺞ ﺍﯾﻦ ﺍﻓﺰﺍﯾﺶ ﺣﺠﻢ – ﻧﺴـﺒﺘﺎً ﮐﻮﭼﮏ ﻭ ﻣﺤﺎﺳﺒﺔ ﺁﻥ ﺩﺭ ﺳﯿﺴﺘﻢﻫﺎﯼ ﻟﻮﻟﻪﮐﺸﯽ ﮐﻪ ﺩﺍﺭﺍﯼ ﻟﻮﻟﻪﻫﺎﯾﯽ ﺑﺎ ﺟﻨﺲ ﻣﺨﺘﻠﻒ ﺑﻮﺩﻩ ﻭ ﻫﺮ ﯾﮏ ﺿﺮﺍﯾﺐ ﺍﻧﺒﺴﺎﻁ ﻣﺘﻔﺎﻭﺗﯽ ﺩﺍﺭﻧﺪ، ﺩﺷﻮﺍﺭ ﺍﺳﺖ.
ﺣﺠﻢ ﻣﺨﺼﻮﺹ ﺩﺭ ﺩﻣﺎﻫﺎﯼ ﻣﺨﺘﻠﻒ ﺩﺭ ﺟﺪﻭﻝ (1) ﻧﺸﺎﻥ ﺩﺍﺩﻩ ﺷﺪﻩ ﺍﺳﺖ.
ﻣﺜﺎلﻫﺎ
ﻣﺜﺎل:1 ﺳﻴﺴﺘﻢ آب ﺳﺮد
ﯾﮏ ﺳﯿﺴـﺘﻢ ﺁﺑﺴـﺮﺩ ﺭﺍ ﻓﺮﺽ ﮐﻨﯿﺪ، ﺩﻣﺎﯼ ﻃﺮﺍﺣﯽ ﺁﺏ ﺳﺮﺩ F 40° ﻭ ﺣﺠﻢ ﺁﺏ ﺳﯿﺴـﺘﻢ( 3785.0) ﻟﯿﺘﺮ 1000 ﮔﺎﻟﻦ ﻣﯽﺑﺎﺷـﺪ. ﻫﻤﺎﻧﻄﻮﺭ ﮐﻪ ﻃﺮﺡ ﺍﯾﻦ ﺳﯿﺴﺘﻢ ﺩﺭ ﺷﮑﻞ (1) ﻧﺸﺎﻥ ﺩﺍﺩﻩ ﺷﺪﻩ ﺍﺳﺖ، ﭘﻤﭗ ﺩﺭ ﭘﺎﯾﯿﻦ ﯾﮏ ﺳـﺎﺧﺘﻤﺎﻥ ﭼﻨﺪ ﻃﺒﻘﻪ ﻭﺍﻗﻊ ﺷﺪﻩ ﺍﺳـﺖ. ﻫﺪ ﺍﯾﻦ ﭘﻤﭗ (240 kPa)ft 80.0 ﻣﯽﺑﺎﺷﺪ.
ﺍﺑﺘﺪﺍ ﻓﺸـﺎﺭ ﭘﯿﺶ ﺷﺎﺭﮊ ﺍﻭﻟﯿﻪ Pi ﺭﺍ ﻣﺤﺎﺳﺒﻪ ﮐﻨﯿﺪ. ﺍﺯ ﺁﻧﺠﺎ ﮐﻪ ﺳﯿﺴﺘﻢ ﺍﺯ ﻧﻮﻉ ﺁﺑﺴـﺮﺩ ﻣﯽﺑﺎﺷـﺪ ﻫﯿﭻ ﻧﮕﺮﺍﻧﯽ ﺩﺭ ﻣﻮﺭﺩ NPSH ﻭﺟﻮﺩ ﻧﺪﺍﺭﺩ، ﺑﻨﺎﺑﺮﺍﯾﻦ ﻓﻘﻂ ﺑﺨﺶ A ﻧﯿﺎﺯ ﺑﻪ ﺑﺮﺭﺳﯽ ﺩﺍﺭﺩ، ﮐﻪ ﺑﻪ ﺷﺮﺡ ﺯﯾﺮ ﺍﺳﺖ:
- ﻧﻘﻄﮥ LPP ﺩﺭ ﺳﯿﺴﺘﻢ، ﺑﺎﻻﺗﺮﯾﻦ ﻧﻘﻄﻪ ﻭ ﺑﺮ ﺭﻭﯼ ﺧﻂ ﻟﻮﻟﻪﯼ ﺑﺮﮔﺸﺖ ﺑﻪ ﺳﻤﺖ ﭘﻤﭗ ﻣﯽﺑﺎﺷﺪ (ﻧﻘﻄﺔ A ﺩﺭ ﺷﮑﻞ .(1
- ﻓﺸﺎﺭ ﺣﺪﺍﻗﻠﯽ Pmin ﻫﻤﺎﻧﻄﻮﺭ ﮐﻪ ﺩﺭ ﺷﮑﻞ 2 ﻧﻤﺎﯾﺶ ﺩﺍﺩﻩ ﺷﺪﻩ ﺍﺳﺖ، 4 psig(28kPa) ﻣﯽﺑﺎﺷﺪ.
- ﺩﺭ ﺻﻮﺭﺗﯽ ﮐﻪ ﻣﻨﺒﻊ ﺍﻧﺒﺴﺎﻁ ﻧﺰﺩﯾﮏ ﻧﻘﻄﮥLPP ﻗﺮﺍﺭ ﮔﯿﺮﺩ، ﮐﻮﭼﮑﺘﺮﯾﻦ ﻭ ﮐـﻢ ﻫﺰﯾﻨﻪﺗﺮﯾﻦ ﮔﺰﯾﻨﻪ ﺧﻮﺍﻫﺪ ﺑـﻮﺩ. ﺑﺎ ﺍﯾﻦ ﺣﺎﻝ، ﺑـﺮﺍﯼ ﺍﯾﻦ ﻣﺜﺎﻝ، ﻓﺮﺽ ﺑﺮ ﺍﯾﻨﺴـﺖ ﮐﻪ ﻣﻨﺒﻊ ﺩﺭ ﻧﻘﻄﺔ B ﻭ ﺩﺭ ﻧﺰﺩﯾﮑﯽ ﻣﮑﺶ ﭘﻤﭗ ﻭﺍﻗﻊ ﺷـﺪﻩ ﺍﺳـﺖ، ﮐﻪ ﺍﯾﻦ ﻣﮑﺎﻥ ﻣﻨﺎﺳـﺐ ﺗـﺮﯼ ﺍﺯ ﻧﻈﺮ ﻓﻀـﺎﯼ ﻣﻮﺟﻮﺩ ﻭ ﺩﺳﺘﺮﺳﯽ ﺑﻪ ﻣﻨﺒﻊ ﻣﯽﺑﺎﺷﺪ.
- ﺍﻓﺰﺍﯾـﺶ ﻓﺸـﺎﺭ ﺍﺳـﺘﺎﺗﯿﮏ Ps, LPP →tank ﺍﺯ ﻧﻘﻄـﮥ LPP ﺗـﺎ ﻣﻨﺒﻊ ﺍﻧﺒﺴﺎﻁ 100 ﻓﻮﺕ (ﯾﺎ ) ﻣﯽﺑﺎﺷﺪ.
- ﺍﻓﺖ ﻓﺸﺎﺭ ﺍﺻﻄﮑﺎﮐﯽ Pf,tank →LPP ﺍﺯ ﻣﻨﺒﻊ ﺗﺎ ﻧﻘﻄﮥ LPP، ﺑﻪ ﺩﻟﯿﻞ ﺍﯾﻨﮑﻪ ﻣﻨﺒﻊ ﺩﺭ ﭘﺎﯾﯿﻦ ﺩﺳﺖ ﻧﻘﻄﮥ LPP ﻭﺍﻗﻊ ﺷﺪﻩ، ﺻﻔﺮ ﺩﺭ ﻧﻈﺮ ﮔﺮﻓﺘﻪﻣﯽﺷﻮﺩ.
-6 ﺣﺪﺍﻗﻞ ﻓﺸﺎﺭ ﺍﻭﻟﯿﻪ ﯾﺎ ﭘﯿﺶ ﺷـﺎﺭﮊ ﻣﻨﺒﻊ Pi (ﺑﻪ ﺻﻮﺭﺕ ﻧﺴﺒﯽ) ﺑﻪ ﺷﺮﺡ ﺯﯾﺮ ﺍﺳﺖ:

ﺣﺎﻝ ﻓﺸﺎﺭ ﺣﺪﺍﮐﺜﺮ ﺭﺍ ﭘﯿﺪﺍ ﻣﯽﮐﻨﯿﻢ:
- ﺭﺩﻩﺑﻨﺪﯼ ﻓﺸـﺎﺭ ﺍﺳﺘﺎﻧﺪﺍﺭﺩ ﺩﺭ ﻫﻤﻪ ﺍﺟﺰﺍﯼ ﺳﯿﺴـﺘﻢ، psig125 (862 kPa) ﯾﺎ ﺑﯿﺸﺘﺮ ﻣﯽﺑﺎﺷﺪ. ﺍﺯ ﺍﯾﻦ ﺭﻭ Pmax125psig ﺩﺭ ﻧﻈﺮ ﮔﺮﻓﺘﻪ ﺷﺪﻩ ﻭ ﺑﺮ ﺍﯾﻦ ﺍﺳـﺎﺱ CPP ﺩﺭ ﭘﺎﯾﯿﻦﺗﺮﯾﻦ ﻧﻘﻄﺔ ﺳﯿﺴﺘﻢ ﻭ ﺑﺮ ﺭﻭﯼ ﻗﺴﻤﺖ ﺩﻫﺶ ﭘﻤﭗ ”ﻧﻘﻄﻪ “C ﻣﯽﺑﺎﺷﺪ.
- ﻓﺮﺽ ﮐﻨﯿﺪ ﺷﯿﺮ ﺗﺨﻠﯿﺔ ﻓﺸﺎﺭ (ﺷﯿﺮ ﺍﻃﻤﯿﻨﺎﻥ) ﺩﺭ ﻧﺰﺩﯾﮑﯽ ﭼﯿﻠﺮ ﻭ ﻣﻨﺒﻊ ﺍﻧﺒﺴﺎﻁ ”ﻧﻘﻄﺔ “B ﻭﺍﻗﻊ ﺧﻮﺍﻫﺪ ﺷﺪ.
- ﺍﺧﺘـﻼﻑ ﻓﺸـﺎﺭ ﺍﺳـﺘﺎﺗﯿﮑﯽ Ps, CPP→PRV ﺍﺯ ﻧﻘﻄﻪ CPP ﺗﺎ ﺷـﯿﺮ ﺗﺨﻠﯿﮥ ﻓﺸـﺎﺭ، ﺑﻪ ﺩﻟﯿﻞ ﺍﯾﻦ ﮐﻪ ﺍﯾﻦ ﺩﻭ ﺩﺭ ﯾﮏ ﺗﺮﺍﺯ ﺍﺭﺗﻔﺎﻋﯽ ﺑﺮﺍﺑﺮ ﻭﺍﻗﻊ ﺷﺪﻩﺍﻧﺪ، ﺻﻔﺮ ﺩﺭ ﻧﻈﺮ ﮔﺮﻓﺘﻪ ﻣﯽﺷﻮﺩ.
- ﺷﯿﺮ ﺗﺨﻠﯿﻪ (ﻧﻘﻄﻪ (B ﺩﺭ ﭘﺎﯾﯿﻦ ﺩﺳﺖ ﻧﻘﻄﺔ CPP (ﻧﻘﻄﺔ (C ﻭﺍﻗﻊ ﺷﺪﻩ ﺍﺳـﺖ. PRV Pf, CPP ﺗﻘﺮﯾﺒﺎً ﺑﺮﺍﺑﺮ ﺑﺎ ﻫﺪ ﭘﻤﭗ 80 ﻓﻮﺕ psi 35

◄ ﺟﺪول :1 حجم مخصوص آب اشباع در دماهی مختلف

5-ﺗﻨﻈﯿﻤﺎﺕ ﻓﺸـﺎﺭ ﺑﺪﯾﻦ ﺻﻮﺭﺕ ﺍﻃﻤﯿﻨﺎﻥ ﻣﯽﺩﻫﺪ ﮐﻪ ﻓﺸﺎﺭ ﺩﺭ ﻗﺴﻤﺖ ﺩﻫﺶ ﭘﻤـﭗ ﺍﺯ 125 psig (862 kPa) ﺗﺠﺎﻭﺯ ﻧﺨﻮﺍﻫـﺪ ﮐﺮﺩ. ﺩﺭ ﺻﻮﺭﺗﯽ ﮐﻪ ﻧﻘﻄﺔ ﺗﻨﻈﯿﻢ ﺷـﯿﺮ ﺗﺨﻠﯿﻪ 125psig (862kPa) ﺑﺎﺷﺪ، ﻓﺸﺎﺭ ﺩﺭ ﭘﺎﯾﯿﻦﺩﺳﺖ ﭘﻤﭗ ﻣﯽﺗﻮﺍﻧﺪ ﺑﯿـﺶ ﺍﺯ 160 psig اﻓﺰﺍﯾـﺶ ﯾﺎﺑﺪ، ﮐﻪ ﺍﺣﺘﻤﺎﻻً ﺑﺎﻻﺗﺮ ﺍﺯ ﺭﺩﻩﺑﻨﺪﯼ ﻓﺸﺎﺭ ﮐﺎﺭﯼ ﺗﺠﻬﯿﺰﺍﺕ ﻣﯽﺑﺎﺷﺪ.
6-ﺍﺧﺘﻼﻑ ﻓﺸـﺎﺭ ﺍﺳـﺘﺎﺗﯿﮏ Ps,PRV →tank ﺍﺯ ﺷﯿﺮ ﺗﺨﻠﯿﻪ ﺗﺎ ﻣﻨﺒﻊ ﺍﻧﺒﺴـﺎﻁ، ﺑﻪ ﺩﻟﯿﻞ ﺍﯾﻦ ﮐﻪ ﺩﺭ ﯾﮏ ﻣﺤﻞ ﻭﺍﻗﻊ ﺷﺪﻩﺍﻧﺪ، ﺻﻔﺮ ﺩﺭ ﻧﻈﺮ ﮔﺮﻓﺘﻪ ﺷﺪﻩ ﺍﺳﺖ.
7-ﺍﻓﺖ ﻓﺸـﺎﺭ ﺍﺻﻄﮑﺎﮐﯽ tank Pf,PRV اﺯ ﺷـﯿﺮ ﺗﺨﻠﯿﻪ ﺗﺎ ﻣﻨﺒﻊ ﺍﻧﺒﺴـﺎﻁ، ﺑﻪ ﺩﻟﯿﻞ ﺍﯾﻦ ﮐﻪ ﺩﺭ ﯾﮏ ﻣﺤﻞ ﻭﺍﻗﻊ ﺷﺪﻩﺍﻧﺪ، ﺻﻔﺮ ﺩﺭ ﻧﻈﺮ ﮔﺮﻓﺘﻪ ﺷﺪﻩ ﺍﺳﺖ.

8-ﺣﺪﺍﮐﺜـﺮ ﻓﺸـﺎﺭ ﻣﻨﺒـﻊ Pmax (ﺑﻪ ﺻﻮﺭﺕ ﻧﺴـﺒﯽ) ﺑﻪ ﺻـﻮﺭﺕ ﺯﯾﺮ ﺍﺳﺖ:
ﺣﺪﺍﻗـﻞ ﺣﺠـﻢ ﻣﻨﺒـﻊ (ﺑـﺎ ﻓـﺮﺽ ﺍﯾﻨﮑـﻪ ﺣﺪﺍﮐﺜـﺮ ﺩﻣـﺎﯼ ﺳﯿﺴـﺘﻢ 80°F(27°C) ﺑﺎﺷﺪ، ﺑﺎ ﻣﻘﺎﺩﯾﺮ ﺣﺠﻢ ﻣﺨﺼﻮﺹ ﺁﺏ ﺩﺭ ﺩﻣﺎﻫﺎﯼ ﺍﺭﺍﺋﻪ ﺷﺪﻩ ﺩﺭ ﺟﺪﻭﻝ (1 ﺑﻪ ﺻﻮﺭﺕ ﺯﯾﺮ ﻣﺤﺎﺳﺒﻪ ﻣﯽﺷﻮﺩ:

از این رو منبع انبساط باید دارای یک حجم پذیرش بیش از ۱۴ لیتر و 3.75 گالن یک حجم کلی بیش از 34.0 لیتر 9.1 گالن باشد.
قیمت منبع انبساط
فروشگاه اینترنتی بامین تهویه تمامی اطلاعات فنی و تصاویر دستگاه های منابع انبساط در برندهای معتبر را جهت مقایسه و خریدی آسان در اختیار مشتریان محترم قرار داده است. برای دریافت مشاوره جهت انتخاب و درک بیشتر مفاهیم منبع انبساط با کارشناسان بامین تهویه تماس حاصل نمایید.
بامین تهویه تخصصی ترین وب سایت کشور در زمینه تأسیسات









دیدگاهی یافت نشد!